理化学研究所(理研)生命機能科学研究センター 合成生物学研究チームの上田 泰己 チームリーダー(東京大学大学院 医学系研究科 機能生物学専攻システムズ薬理学教室 教授)らは、全国の学校の子ども(小中高生)を対象として、ウェアラブルデバイスを用いた睡眠測定を実施し、日本の子どもの睡眠実態の把握と、子ども・保護者に対して睡眠衛生に関する理解を増進する「子ども睡眠健診」プロジェクトを推進しています。この度、3月18日「睡眠の日」に合わせて、プロジェクトへの参加校の第三次募集(2024年度後期募集)を開始します。
「子ども睡眠健診」プロジェクトとは?
上田チームリーダーらは、子どもの健やかな睡眠を知り・育み・護ることを目的とした「子ども睡眠健診」プロジェクトを推進しています。このプロジェクトでは、腕時計型のウェアラブルデバイスを用いて子どもたちの睡眠の量・質・リズムを簡便かつ定量的に測定し、現代の子どもの睡眠の実態把握を進めるとともに、子どもや保護者に対する睡眠に関する知識の提供と、学校現場への技術的・教育的支援を提供することにより、子どもの生活習慣の改善や健やかな発育・発達につなげることを目指しています。データの解析には、独自に開発した世界最高精度のアルゴリズム「ACCEL」[1]、注1)を用います。
「子ども睡眠健診」プロジェクトで見えてきた実態
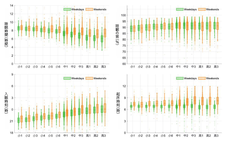
2022年9月にプロジェクトを開始注2)してから、2024年1月までに注3)、全国各地の学校(延べ68校)から約7,700名の子どもたちに参加していただきました。これまでのデータの解析結果[2]から、現代の日本の子どもたちの睡眠実態が徐々に明らかになってきました(図1)。具体的には、全ての年代において、おおむね半分以上の子どもたちが「健康づくりのための睡眠ガイド2023」[3]における推奨睡眠時間を満たさず、平日に睡眠不足が蓄積し、休日に睡眠補填(ほてん)が見られました。また、学年が上がるにつれて平日と休日の起床時刻に大きな乖離(かいり)が生じ、一定数の子どもたちが「社会的時差ぼけ[4]」と呼ばれる状態にあることが分かってきました。なお、睡眠の質[5]は学年によらずおおむね良好であるものの、中には注意を要する子どもの存在もデータから見えてきました。
図1 見えてきた子どもの睡眠の量・質・リズムの実態(約7,000人のデータ解析結果より)
「子ども睡眠健診」プロジェクト・第三次募集について
このような状況を改善するためには、子どもたちが自身の睡眠状況を客観的に振り返り、睡眠や生活習慣を整える重要性を認識し、睡眠を改善するための正しい知識を獲得することが重要です。参加校では、一人一人の睡眠データの解析結果をまとめたフィードバックレポートを活用し、健康教育や保健委員会の活動と結びつけた実践や、睡眠に関する教育講演の機会を設けるなど、子どもや保護者の睡眠に対する意識の向上と知識の獲得に資する取り組みの事例を蓄積してきました。その反響は大きく、学校における睡眠教育の重要性が改めて浮き彫りになりました。
そこで、日本全国のより多くの学校(小・中・高)に参加していただくために、「子ども睡眠健診」プロジェクトへの参加校の第三次募集(2024年度後期募集)を行います。今回、新たに小学生(低・高学年)を対象としたフィードバックレポートを準備しました(図2)。また、中高生向けのレポートの拡充を行います。
概要
- 対象
 - 日本全国の学校(小・中・高)および自治体
 - 応募要件
 - 原則、参加者数が100名以上を見込めること。
複数校の同時参加も可。
なお、過去に参加した学校からの申し込みも受け付ける。 - 参加日程
 - 2024年7月~2025年3月(先着順に調整)
 - 費用負担
 - なし
 - 応募締め切り
 - 特に設けない(空き状況に応じて調整)
 
図2 小学生向けの「子ども睡眠健診」フィードバックレポート(高学年向けサンプル)
本プロジェクトの詳細や参加申し込み方法は、「子ども睡眠健診」プロジェクトのウェブサイトからご確認ください。
- 注1)2022年1月20日科学技術振興機構プレスリリース「腕の動きを元に、正確に睡眠覚醒状態を判定する方法ACCELを開発」
 - 注2)2022年9月12日お知らせ「日本全国の子ども(小中高生)を対象とした「子ども睡眠健診」プロジェクトを開始」
 - 注3)2023年9月4日お知らせ「「子ども睡眠健診」プロジェクト参加校(小・中・高)の第二次(2024年度前期)募集を開始」
 
補足説明
- 1.ACCEL
腕の動きを基に睡眠覚醒状態を判別する方法。3軸方向の加速度を用い、腕の動きから、睡眠・覚醒状態を判定する。従来の方法に比べて睡眠中の覚醒を検出する特異度に優れ、中途覚醒の検出ができる方法である。 - 2.データの解析結果
ACCELを用いたデータ解析により、睡眠の量・質・リズムに関する指標を算出した。具体的には、長い睡眠区間(主に夜間睡眠)における実睡眠時間、睡眠効率(寝床で横になっていた時間のうち、実際に眠っていた時間の割合)、入眠時刻および起床時刻を算出した。今後、解析方法の改訂により、結果にも改訂が加わる可能性がある。 - 3.健康づくりのための睡眠ガイド2023
健康日本21(第三次)における休養・睡眠分野の取組を推進するため、2024年2月に厚生労働省により策定されたガイド。小学生は9~12時間、中学・高校生は8~10時間の睡眠時間の確保が推奨されている。 - 4.社会的時差ぼけ
平日と休日の睡眠中央時刻(入眠時刻と起床時刻の中間点)の差分。社会的時差ぼけが大きいと、日中の不調や将来的な健康リスクにつながることが指摘されている。 - 5.睡眠の質
睡眠効率により評価される。睡眠中の中途覚醒が少ないほど、睡眠の質は高いと考えられる。 
研究支援
本プロジェクトは、科学技術振興機構(JST)の支援のもと、戦略的創造研究推進事業(ERATO)上田生体時間プロジェクトによって推進されます。
発表者
理化学研究所 生命機能科学研究センター 合成生物学研究チーム
チームリーダー 上田 泰己(ウエダ・ヒロキ)
(東京大学 大学院医学系研究科 機能生物学専攻 システムズ薬理学教室 教授)
東京大学 大学院医学系研究科 機能生物学専攻 システムズ薬理学教室
特任講師 岸 哲史(キシ・アキフミ)
本プロジェクトに関する問い合わせ先
東京大学 大学院医学系研究科 機能生物学専攻 システムズ薬理学教室
JST ERATO 上田生体時間プロジェクト
〒113-0033 東京都文京区本郷7-3-1
Tel: 03-5841-3415 / Fax: 03-5841-3418
Email: kishi [at] m.u-tokyo.ac.jp(担当:岸)
ウェブサイト: 「子ども睡眠健診」プロジェクト
※[at]は@に置き換えてください。
機関窓口
理化学研究所 広報室 報道担当
お問い合わせフォーム
