2011年6月13日
								独立行政法人 理化学研究所
国立大学法人 東京大学物性研究所
独立行政法人 日本原子力研究開発機構
国立大学法人 東北大学金属材料研究所
非磁性体(銀)に巨大な磁気を持たせることに成功
-超高感度磁気センサーや大容量不揮発性メモリーの開発に道筋-
ポイント
- 酸化マグネシウムを用いて、銀の中に従来の100倍以上の磁気を蓄積
 - 銀の中の磁気(スピン)が数マイクロメートルの距離を高速に拡散
 - 実測値と理論値の一致により、磁気蓄積素子の設計手法を確立
 
要旨
独立行政法人理化学研究所(野依良治理事長)、国立大学法人東京大学物性研究所(家 泰弘所長)、独立行政法人日本原子力研究開発機構(鈴木篤之理事長)、国立大学法人東北大学金属材料研究所(新家光雄所長)は、酸化マグネシウム層を磁石である強磁性体と非磁性体(銀)で挟んだ接合を持つ磁気蓄積素子を作製し、効率よく磁気(スピン)を銀の中に注入・蓄積することに成功、従来の100倍以上という世界最高性能の出力電圧(磁気蓄積量)を達成しました。これは、理研基幹研究所(玉尾皓平所長)量子ナノ磁性研究チームの大谷義近チームリーダー(東京大学物性研究所教授)と福間康裕副チームリーダー、日本原子力研究開発機構先端基礎研究センターの前川禎通センター長、東北大学金属材料研究所の高橋三郎助教との共同研究による成果です。
近年、電子の電荷を用いたエレクトロニクスに加えて、スピンの性質も利用するスピントロニクスという分野が注目されています。磁気の源であるスピンの緩和時間※1は、電流の源である電荷の緩和時間より数桁長いため、スピン流※2やスピン蓄積※3を用いることでエネルギー損失の少ない電子素子の実現が期待されています。この磁気蓄積素子では、素子の一部に電流を流すことで、強磁性体から非磁性体にスピンを注入し、スピン流を利用して出力電圧を得ます。しかし、これまでは、強磁性体と非磁性体間でスピンの緩和に対する抵抗値(スピン抵抗※4)の不整合があり、効率よくスピンを注入することができませんでした。そのため、出力信号は1μV(マイクロボルト:マイクロは10-6)程度、磁気蓄積量にして0.01T(テスラ)程度にとどまっていました。
研究グループは、このスピン抵抗の不整合を解消するため、強磁性体であるパーマロイ※5(鉄とニッケルの合金)と非磁性体である銀との間に、厚さ数nm(ナノメートル:ナノは10-9)の低抵抗の酸化マグネシウム層を挟んだ接合を持つ磁気蓄積素子を作製し、熱処理を施すことで、強磁性体から非磁性体中への高効率なスピン注入・蓄積を実現しました。実際に磁気蓄積素子の特性を測定した結果、数百μVという出力信号を実現するとともに、スピンが銀の中を6μm以上も拡散する様子を観測しました。また、出力信号の解析方法も確立することができました。今後は、スピン流やスピン蓄積を用いた超高感度磁気センサー、大容量不揮発性メモリー素子、スピン演算素子などへの応用開発が加速すると期待できます。
本研究成果は、科学雑誌『Nature Materials』オンライン版(6月12日付け:日本時間6月13日)に掲載されます。
背景
近年、電子の持つスピンという特性を積極的に用いた新しい電子素子の開発が急速に進んでおり、こうした研究分野はスピントロニクス(スピンエレクトロニクス)と呼ばれています。その中心となる材料は強い磁気を持つ強磁性体(磁石)で、例えば、2枚の強磁性体層に極薄の絶縁体層を挿入したトンネル磁気抵抗素子※6は、ハードディスクドライブの再生ヘッドや磁気ランダムアクセスメモリーのメモリー機能部に実用化されています。これらスピントロニクス素子は、電荷の流れ(電流)とスピンの流れ(スピン流)の両方を利用しています。
一方、スピンホール効果※7や非局所的手法※8(図1)を用いると、スピン流だけを生成することができます。スピンの緩和時間は電荷の緩和時間よりも数桁長いために、スピン流を利用することでエネルギー損失の少ない電子素子の実現が期待できます。研究グループはこれまでに、スピン流やスピン蓄積を用いた磁気蓄積素子を開発し、白金ナノ細線が大きなスピンホール伝導率※9を持つことを発見していました(2007年4月12日プレス発表)。しかし、スピンホール効果を用いたスピン流の生成効率は数%程度であり、この磁気蓄積素子の出力信号はせいぜい1μV程度です。また、強磁性体/非磁性体接合を用いた非局所的手法の場合、スピン抵抗の不整合が問題となって、非磁性体中への効率的なスピン注入が困難でした。一方、高抵抗なトンネル接合を用いた非局所的手法では、注入効率は向上できますが、微小電流しか流すことができないために、やはり少量のスピンしか注入できません。このために、非局所的手法においても、出力信号はせいぜい1μV程度、磁気蓄積量として0.01T程度と小さく、実用化への大きな問題となっていました。
研究手法と成果
研究グループは、スピン抵抗の不整合を解消し、スピン注入に最適な接合抵抗を得るために、強磁性体であるパーマロイ(鉄とニッケルの合金)と非磁性体である銀の間に、酸化マグネシウム層を挟んだナノサイズの磁気蓄積素子を作製しました(図1)。一方の強磁性体電極(パーマロイ細線)に電圧を加えて非磁性体(銀の細線)に電流を流すと、スピンを非磁性体中に注入することができます。注入・蓄積したスピンは非磁性体細線に沿って両側に拡散し、左側部分には電流とスピン流の両方が、右側部分にはスピン流だけが現れます。この非磁性体細線中に蓄積しているスピンの量は、もう一方の強磁性体電極を用いて計測できます。
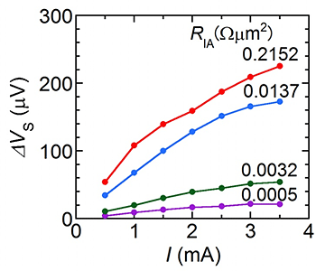
研究グループは、作製した素子を水素3%、窒素97%の混合ガス中で400℃、40分間の熱処理を施し、酸化マグネシウム膜厚を変えることで接合界面抵抗を制御しながら、スピン注入効率を調べました。その結果、界面抵抗値が0.2Ωμm2程度の酸化マグネシウム層を用いると、強磁性体金属と非磁性体金属のスピン抵抗の不整合が解消され、出力信号が最大値で一定になることが分かりました(図2)。この界面抵抗値は一般的なトンネル接合よりも2桁ほど低く、大きな電流を流すことが可能です。膜厚6.2nm(0.2152Ωμm2)の酸化マグネシウムを用いると、3mAの電流で200μV以上の出力信号を実現しました(図3)。この出力電圧は、磁気蓄積量としては有効磁場換算で2T程度にもなり、従来の100倍以上にもなる世界最高の値です。
さらに、銀の細線中のスピンは、同じ非磁性体であるアルミニウムと比較して10倍以上も高速で、6μmもの距離を拡散できることを観測しました(図4)。これらすべての実験結果は、素子構造を考慮した1次元のスピン拡散伝導モデルを用いた理論値と一致することも確認しました。
今後の期待
今回、酸化マグネシウムを用いた磁気蓄積素子で、出力信号の100倍以上の増大に成功しました。さらに、出力信号の理論値と実験結果が一致することを確認し、磁気蓄積素子の設計手法を確立しました。開発した低抵抗な酸化マグネシウム層を利用して、強磁性材料や素子サイズ、構造などを最適化すると、さらなる出力信号の向上が可能になります。磁気蓄積素子は、次世代ハードディスクドライブの再生ヘッドなど、高感度かつ高空間分解能の磁気センサーとしての応用が期待されており、今回の成果はその開発に貢献するものです。また、数μm以上の距離をスピンが拡散した現象は、スピン流がエネルギー損失の小さい情報伝達手段として有望なことを示しています。今後、外部信号によるスピンの制御手段を開発することで、スピントランジスタやスピン演算素子などの実現も期待されます。
発表者
 理化学研究所 
 基幹研究所 物質機能創成研究領域 単量子操作研究グループ
 量子ナノ磁性研究チーム チームリーダー
 (東京大学物性研究所教授)
 大谷 義近(おおたに よしちか)
 Tel: 048-467-9605 / Fax: 048-467-9650
 副チームリーダー 福間 康裕(ふくま やすひろ)
 Tel: 048-467-9607 / Fax: 048-467-9650
 独立行政法人日本原子力研究開発機構
 先端基礎研究センター
 センター長 前川 禎通(まえかわ さだみち)
 Tel: 029-282-5093
 国立大学法人東北大学金属材料研究所
 金属物性論研究部門
 助教 高橋 三郎(たかはし さぶろう)
 Tel: 022-215-2008 
報道担当
独立行政法人理化学研究所 広報室 報道担当
 Tel:048-467-9272 / Fax:048-462-4715
国立大学法人東京大学物性研究所 総務係
 Tel: 04-7136-3207 / Fax: 04-7136-3216
独立行政法人日本原子力研究開発機構 広報部報道課
 Tel: 03-3592-2346 / Fax: 03-5157-1950
国立大学法人東北大学金属材料研究所 総務課庶務係
 Tel: 022-215-2181 / Fax: 022-215-2184
補足説明
- 1.スピンの緩和時間
スピンは量子力学の基本量であり、上向きと下向きの2つの状態だけをとる。上向き状態のスピンが散乱されて下向き状態に変化するまでの時間をスピンの緩和時間と呼ぶ。一方で、電荷の緩和時間は物質中の電子と電子が衝突なしに進むことができる時間である。 - 2.スピン流
スピンとは、電子の磁石としての性質(地球の自転に似た電子の角運動量)で、電子の電荷の運動である電流に対して、スピンの運動をスピン流と呼ぶ。 - 3.スピン蓄積
強磁性体と非磁性体との界面などで、スピン偏極した状態が緩和されずに不均等が保たれている状態。 - 4.スピン抵抗
スピンに対して、流れを妨げる影響の指標をスピン抵抗と呼ぶ。 - 5.パーマロイ
鉄とニッケルの合金。結晶粒が小さく、結晶磁気異方性が小さいため、磁区構造が制御しやすく、ナノ構造の磁性体によく用いられる。 - 6.トンネル磁気抵抗素子
2つの強磁性体電極の磁化の相対角度により抵抗の大きさが変化する。一方の磁化を磁場に対して感度良く動くように設計すると磁場センサーとして利用できる。 - 7.スピンホール効果
強磁性体内では、自発磁化が存在し、電子の動きやすさの指標である移動度は、電子が持つ“小さな磁石”であるスピンに依存するため、電流を流すだけでスピン流が発生する。一方、非磁性体に電流を流しても、スピン軌道相互作用による散乱で、電流に対して垂直方向にスピン流が発生する現象が起こる。この現象をスピンホール効果という。 - 8.非局所的手法
電流の流れている部分に生じる電圧を測定する局所的手法に対し、電流の流れていない部分にスピンの拡散伝導を生じさせスピン分極によって発生する電位差を測定する手法を非局所的手法という。 - 9.スピンホール伝導率
物質中に電流を流すと、スピン軌道相互作用によりスピンが選択的に散乱され、電流に対して垂直方向にスピン流を生成できる。この電流からスピン流への変換効率をスピンホール伝導率と呼ぶ。 
 
 図1 磁気蓄積素子の概念図と非局所的手法の測定図
強磁性体細線幅は0.14μm、非磁性体細線幅は0.16μmの素子を作製した。左上の写真は接合界面の断面透過電子顕微鏡像。
 
 図2 磁気蓄積素子の出力信号△RS=V/Iの接合界面依存性
界面抵抗RIAの大きさは、酸化マグネシウム層の厚さを変えることで制御した。界面抵抗の増加(酸化マグネシウム膜厚の増加)に伴い、△Rs(出力信号に相当)は増加する。点は実験値、実線は理論解析の結果を示している。
 
 図3 磁気蓄積素子の出力電圧の印加電流依存性
酸化マグネシウムの膜厚6.2nmの素子(RIA=0.2152Ωμm2)に3mAの電流を流し、最高出力電圧225μVを観測。
 
 図4 ハンル効果を用いたスピン歳差運動の実験概念図と実験結果
- 上図:測定に利用した素子の走査型電子顕微鏡像
素子に垂直方向の磁場を印加してスピンの歳差運動を引き起こした。銀の細線中にスピンが注入された後、検出側電極まで拡散する間、スピンは外部磁場からトルクを受け歳差運動する。 - 下図:スピンの向きの磁場依存性
例えば青線の場合、上向きスピンを注入すると、磁場が0では上向きスピンが検出される。磁場の大きさを変えて±0.2Tになると、下向きスピンが検出される。赤線の場合はその逆である。このように、検出側電極におけるスピンの回転角度を磁場で制御した。 
