2012年12月12日
								独立行政法人理化学研究所
学校法人玉手山学園関西福祉科学大学
浜松ホトニクス株式会社
国立大学法人浜松医科大学
血中の自己抗体が脳内に侵入して神経伝達機能を低下させる
-免疫系の異常が慢性疲労症候群を発症させるメカニズムの一端をPET検査で解明-
ポイント
- 認知機能に関わる神経伝達物質受容体(mAchR)をPET検査で定量解析
 - 血中にmAChR自己抗体を持つ患者の脳では、mAchRの発現が低下
 - 慢性疲労症候群や自己免疫疾患発症メカニズムの解明に期待
 
要旨
理化学研究所(野依良治理事長)、関西福祉科学大学(江端源治学長)、浜松ホトニクス株式会社(晝馬明社長)、および浜松医科大学(中村達学長)は、約半数の慢性疲労症候群患者の血中に見られる自己抗体※1が、脳の神経伝達機能を低下させている様子を、PET(陽電子放射断層撮影)検査で明らかにしました。これは、理研分子イメージング科学研究センター(渡辺恭良センター長)分子プローブ動態応用研究チームの渡辺恭良チームリーダー、水野敬研究員らと、関西福祉科学大学健康福祉学部の倉恒弘彦教授、浜松ホトニクス株式会社中央研究所PET応用PETセンターの塚田秀夫センター長と山本茂幸、浜松医科大学分子イメージング先端研究センターの尾内康臣教授らによる共同研究グループの成果です。
慢性疲労症候群は、原因不明の疲労・倦怠感が6カ月以上続く病気です。感染症や過度の生活ストレスなど複合的な要因が引き金になり、「疲れが取れない」という状態に脳が陥るためと推測されています。しかし、その詳しい発症メカニズムは分かっていません。
これまでの報告により、慢性疲労症候群患者の血液を検査すると、神経伝達物質受容体(ムスカリン性アセチルコリン受容体:mAChR※2)に対する自己抗体(mAChR自己抗体)が検出される例が知られています。共同研究グループは、このmAChR自己抗体に着目しました。自己抗体とは、自己の体内分子に結合する抗体のことで、これが作られると、免疫システムが標的となった体内分子を排除しようと働きます。mAChRはアルツハイマー型認知症や統合失調症などに関わるとされているため、mAChR自己抗体と認知機能の間には深い関係が有ると予測しました。そこで、mAChR自己抗体を持つ慢性疲労症候群患者5名と持たない患者6名、健常者11名の脳をPET検査で比較したところ、mAChR自己抗体を持つ患者の脳では、mAChRの発現量が10~25%低下していることが分かりました。
この成果は、慢性疲労症候群に見られる免疫系の異常が脳の神経伝達機能を変化させる初めての直接的な証明です。今後、感染症や免疫系異常と慢性疲労の関係の詳細な解明を行うことにより、新たな病態研究につながると期待できます。
本研究の一部は、文部科学省21世紀COEプログラム「疲労克服研究教育拠点の形成」と厚生労働科学研究費補助金の支援を受けて行われ、成果は、米国のオンライン科学雑誌『PLOS ONE』(12月11日付け:日本時間12月12日)に掲載されます。
背景
日本では、疲労感を自覚している人の割合は約6割に上り、そのうち約4割の人が、6カ月以上も疲れを感じたままの慢性疲労状態にあると報告されています(2004年文部科学省科学振興調整費「疲労および疲労感の分子・神経メカニズムとその防御に関する研究」調査)。このように長期にわたって強い疲労感が続き、健全な社会生活が送れなくなる病気を慢性疲労症候群と呼び、日本の他、欧米を中心に世界各国で報告されています。1980年代にはレトロウィルス感染症が疑われましたが、明確な原因は分かっていません。現在では、感染症を含めたウイルスや細菌感染、過度のストレスなど複合的な要因が引き金になり、神経・内分泌・免疫系の変調が生じて、脳・神経系が機能障害を引き起こすためと考えられています。しかし、その発症メカニズムは明らかになっておらず、正確な診断法や予防・治療法の確立が急がれています。
これまでの疫学調査から、慢性疲労症候群の患者の血中には、通常の血液検査では見つからない特殊なタンパク質が検出されることが分かっています。その1つが、自己免疫疾患※3の原因となる自己抗体です。これまでに、ムスカリン性アセチルコリン受容体(mAChR)に対する自己抗体が、慢性疲労症候群患者の約半数で見つかったという報告があります(Tanaka S, Kuratsune H, Hidaka Y, Hakariya Y, Tatsumi KI, et al. (2003) Int J Mol Med 12:225-230.)。mAChRは、神経伝達物質アセチルコリン※4の受容体の一種で、大脳皮質や脳幹部、心臓などで働き、アルツハイマー型認知症やハンチントン舞踏病、パーキンソン病、統合失調症などに関わるとされています。そのため、mAChR自己抗体がmAChRに結合して、慢性疲労症候群患者の脳の機能に影響を及ぼすと推測されています。しかし、一般に血中の抗体は、血液脳関門※5の制限により脳神経細胞には移行しないため、脳への影響は未解明のままでした。
研究手法と成果
共同研究グループは、mAChR自己抗体の脳への影響を知るために、慢性疲労症候群患者の脳でのmAChR発現量をPET検査で調べました。PET検査に先立ち、200名の慢性疲労症候群患者に対してmAChR自己抗体の陽性判定を先行報告よりも厳しい基準で行ったところ、検査できた200名の慢性疲労症候群患者のうち8名が確実にmAChR自己抗体を持つことが判明し、そのうち5名の協力を得ることができました。mAChRには、構造が似たM1~M5型という5つの型がありますが、協力を得た5名が持つ自己抗体はM1型に対する抗体でした。PET検査で用いたプローブ[11C](+)3-MPBは、神経細胞に存在する全ての型のmAChR分子と1対1で結合するため、脳内のmAChRの局在を定量的に調べられます。
PET検査は、mAChR自己抗体を持つ慢性疲労症候群患者5名、持たない患者6名、健常者11名の計22名に対して行いました(図1)。その結果、mAChR自己抗体のある患者の脳のmAChR発現量は、他と比べて10~25%低下していました(図2)。これは、血中のmAChR自己抗体が血液脳関門を突破して、脳神経細胞のmAChRに結合していることを示唆します。
M1型を発現する神経細胞は、認知機能に強く関わります。そこで、22名の全ての被験者に対して、熟語の音読課題や記憶力などの認知機能を神経心理学的テストで比較しましたが、有意な点数の差は確認できませんでした。これは、認知機能の低下には至らないmAChR発現量の微妙な変化を、PET検査が検出できたことを示します。
今後の期待
今回、血中の認知機能に関わる自己抗体が、脳の特定の神経伝達機能に直接影響を及ぼす可能性を示しました。通常は、体内分子に対する自己抗体が作られることはなく、血中の抗体が脳内に移行することもありません。しかし、ウイルスや細菌が感染すると、免疫系が破たんして自己抗体が出現したり、炎症反応で血液脳関門が機能しなくなったりすることがあります。全ての慢性疲労症候群患者で自己抗体を検出するわけではありませんが、感染症と免疫系、疲労の関係解明につながると期待できます。
また、自己免疫疾患の患者はしばしば頭痛やだるさ、疲労感などを訴えます。これら原因不明の体の不調と自己抗体の正確な因果関係は不明ですが、今回の手法を応用し、自己抗体の影響を受ける分子や神経機能をPET検査で調べることで、自己免疫疾患の発症メカニズムの理解が進むと期待できます。
原論文情報
- 著者名."Reduction of [11C](+)3-MPB Binding in Brain of Chronic Fatigue Syndrome with Serum Autoantibody against Muscarinic Cholinergic Receptor". PLOS ONE, 2012
 
発表者
 理化学研究所 
 分子イメージング科学研究センター 
 センター長 渡辺 恭良(わたなべ やすよし)  
 分子イメージング科学研究センター 分子プローブ動態応用研究チーム 
 研究員 水野 敬(みずの けい) 
浜松ホトニクス株式会社 
 中央研究所PET応用PETセンター 
 センター長 塚田 秀夫(つかだ ひでお)
お問い合わせ先
分子イメージング科学研究センター
 広報・サイエンスコミュニケーター 山岸 敦(やまぎし あつし)
 Tel: 078-304-7138 / Fax: 078-304-7112
浜松ホトニクス株式会社
 広報室 海野 賢二(うんの けんじ)
 Tel: 053-452-2141 / Fax: 053-456-7888
報道担当
理化学研究所 広報室 報道担当 
 Tel: 048-467-9272 / Fax: 048-462-4715
補足説明
- 1.自己抗体
自己免疫応答によって、異物を認識し排除する役割をもつ免疫系が、自分自身の正常な細胞や組織にまで過剰に反応して攻撃するために、抗体が産生される。これを自己抗体と呼ぶ。病気によって産生される抗体の種類は異なる。 - 2.ムスカリン性アセチルコリン受容体:mAChR
タンパク質共役型受容体で、似た構造ごとに分類できる5種類(M1~M5)の型があり、中枢および末梢に広く分布していることが知られる。ムスカリン性受容体を介したコリン作動性神経伝達経路は、脳高次機能の主要な役割を担っていると考えられている。 - 3.自己免疫疾患
本来、ウイルスや細菌など外来性異物を排除するために働く免疫システムが、さまざまな要因によって、自己を構成する成分に対しても攻撃(自己免疫反応)して発症する疾患の総称。 - 4.アセチルコリン
神経伝達物質の1つで、生体内における化学伝達物質。運動神経や副交感神経の末端、および神経節の節前・節後線維間のシナプスで伝達をつかさどる。また、中枢神経系においても神経伝達物質として働いていると考えられており、アルツハイマー病との関連が指摘されている。 - 5.血液脳関門
脳血管から脳神経細胞へ有害な物質が移行しないように、血液と脳の組織液との間にある物質交換を制御する機構。多くのトランスポーターの働きにより、ブドウ糖やアミノ酸などの栄養素は選択的に透過し、毒物・薬物は血中へ戻される。 
 
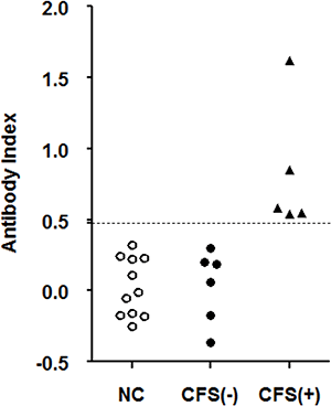
 図1 ムスカリン性アセチルコリン受容体(mAChR)に対する自己抗体の陽性判定
健常者(NC)11名および慢性疲労症候群患者(CFS)11名の血中に存在する抗体成分の、mAChRに反応する強さ(Anyibody index:抗体指数)を測定した。今回の研究では、抗体指数が0.5以上の患者を自己抗体陽性(CFS(+))と判定した。
 
 図2 慢性疲労症候群患者の自己抗体が脳の神経伝達に与える影響
ムスカリン性アセチルコリン受容体(mAChR)を標的とするPETプローブ[11C](+)3-MPBを用いてPET検査した脳の断層図(左列は大脳基底核と大脳皮質を主に含む断層、右列は大脳皮質を主に含む断層。いずれの写真も上方向が鼻側)。mAChR自己抗体を持たない慢性疲労症候群患者(中)は、健常者(上)と同様のmAChR発現量(黄色~赤色)を示すが、mAChR自己抗体を持つ慢性疲労症候群患者(下)は、mAChR発現量の低下を示す。
