ポイント
- 自食機能はAβ(アミロイドベータペプチド)の細胞外への排出に関与
 - 自食機能の欠失はアミロイド斑の蓄積阻害、神経細胞死、記憶障害を誘起
 - 分解されず細胞内に残ったAβは強力な毒性を持つ
 
要旨
理化学研究所(理研、野依良治理事長)は、細胞の自食に新たな機能があることを発見し、この新機能がアルツハイマー病の発症に関与している可能性を示しました。これは、理研脳科学総合研究センター(利根川進センター長)神経蛋白制御研究チームのニルソン パー研究員、津吹聡専門職研究員、西道隆臣チームリーダーらの研究チームの成果です。
脳機能障害を主症状とするアルツハイマー病の主な発症原因の1つに、凝集性ペプチドであるアミロイドβペプチド(Aβ)[1]の蓄積が挙げられます。細胞から排出されて凝集したAβは不溶性のため脳内に蓄積し、アルツハイマー病に特徴的なアミロイド斑[2]を形成します。
通常、細胞内に作られた異常、あるいは過剰なAβは、「自食」によってすみやかに分解、リサイクルされ、これにより生体の恒常性が維持されています。もし、自食機能が正常に働かなければ、細胞内の過剰なAβは分解されないまま蓄積されると考えられます。そこで研究チームは、「自食機能の欠失がアルツハイマー病発症に少なからず影響を及ぼしているのではないか?」という仮説を立て、自食とアルツハイマー病の関連について調べました。
実験では、自食機能を欠失させたマウスとアルツハイマー病モデルマウス[3]を掛け合わせたマウスを作製し、脳内におけるアミロイド斑の蓄積について解析しました。その結果、自食機能を欠失させると脳内に蓄積したアミロイド斑が劇的に減少することが分かりました。つまり、Aβの分解が起こらないにも関わらず、細胞外のアミロイド斑が減少することから、自食機能にはAβの細胞外への排出という新しい機能があることを示しています。また、細胞内Aβは強力な毒性をもち、神経細胞死と記憶障害を引き起こすことも分かりました。
本研究における自食の新機能の発見は、アルツハイマー病発症メカニズムの解明に向けたきっかけとなり、この新知見をベースにした研究アプローチは、アルツハイマー病の予防や治療に応用できる可能性があります。
本研究成果は、米国の科学雑誌『Cell Reports』に掲載されるに先立ち、オンライン版(10月3日付け:日本時間10月4日)に掲載されます。
背景
アルツハイマー病は、脳機能障害を主症状とする神経変性疾患です。患者本人のみならず、介護する家族も心身ともに多大な苦痛・疲労を伴うため、現代社会における最も深刻な病気の1つとなっています。このため、予防法・治療法の確立が早急に望まれています。アルツハイマー病発症にはさまざまな原因がありますが、主な原因として脳内でのAβの蓄積や濃度の上昇が考えられています。細胞から排出されて凝集したAβは不溶性のため脳内に蓄積し、アルツハイマー病に特徴的なアミロイド斑を形成します。
細胞内には、異常・過剰なタンパク質をすみやかに分解・リサイクルする重要な仕組みとして「細胞の自食」があります。この機能はヒトをはじめ生物が生命活動を維持していくためにはなくてはならないものです。自食機能が欠失すると脳内のAβ量が上昇し、アルツハイマー病発症へと結びつく可能性があります。そこで研究チームは、自食機能を欠損させたマウスとAβを過剰に蓄積させたアルツハイマー病モデルマウスを掛け合わせたマウスを作製し、アルツハイマー病発症メカニズムの解明に挑みました。
研究手法と成果
まず、研究チームは、自食機能を欠失させるためにその機能に関わるAtg7遺伝子[4]を欠損させたマウス(Atg7遺伝子欠損マウス)を作製しました。そのAtg7遺伝子欠損マウスとアルツハイマー病モデルマウスを掛け合わせたマウス(掛け合わせマウス)を作製して、研究に使用しました。2つのマウスを掛け合わせることで、自食機能の欠失とAβの過剰蓄積によるさまざまな効果を解析することができます。
20カ月齢まで飼育したアルツハイマー病モデルマウスと掛け合わせマウスについて、それぞれの脳内におけるアミロイド斑の蓄積量を調べました。その結果、予想に反し、アルツハイマー病モデルマウスと比較して掛け合わせマウスでは、アミロイド斑の蓄積量が約70分の1に激減しました(図1)。この結果は、細胞の自食機能が欠失した掛け合わせマウスでは、細胞内にAβが蓄積してしまい細胞外へ排出されないため、脳内のアミロイド斑の蓄積量が減少したことを示しています。つまり、細胞の自食には、Aβの分解機能だけではなく、Aβを細胞外へと排出するという新しい機能があることが分かりました(図2)。
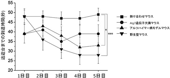
次に研究チームは、野生型マウス、Atg7遺伝子欠損マウス、アルツハイマー病モデルマウス、掛け合わせマウスについて、15ヶ月齢まで飼育した後、脳内における神経細胞の様子を調べました。その結果、掛け合わせマウスでは、神経細胞が死滅して脳が萎縮し、重量も減少していることが分かりました(図3)。さらに、モーリス水迷路試験[5]による行動実験の結果から、掛け合わせマウスは、学習能力の低下と記憶障害の発生が確認されました(図4)。アルツハイマー病の脳内で早期から見ることができる特徴的な病理変化のアミロイド斑の蓄積が、掛け合わせマウスでは激減しているにも関わらず、神経細胞死の発生、脳の萎縮、記憶障害の発生といったアルツハイマー病に似た症状が現れていました。この結果は、細胞内のAβには強力な毒性があることを示しています。今回の実験から、Aβをアルツハイマー病発症メカニズムを解明するための標的物質とすることが非常に重要だと確認できました。
今後の期待
今回の自食の新機能の発見は、アルツハイマー病発症のメカニズムを解明する上で1つの重要な端緒となり、この新知見を標的としたアプローチはアルツハイマー病の予防や治療に大きく貢献できることが期待されます。今後、ハイスループットスクリーニング[6]などにより自食機能を調節できるような因子(Aβ放出能を阻害する物質など)を同定し、その類似体を合成して、構造活性相関を解析できると、アルツハイマー病の予防薬・治療薬の発見に結びつく可能性があります。
原論文情報
- Per Nilsson, Krishnapriya Loganathan, Misaki Sekiguchi, Yukio Matsuba, Kelvin Hui, Satoshi Tsubuki, Motomasa Tanaka, Nobuhisa Iwata, Takashi Saito and Takaomi C. Saido. "Aβ Secretion and Plaque Formation Depend on Autophagy."
Cell Reports 2013, doi: org/10.1016/j.celrep.2013.08.042 
発表者
 理化学研究所 
 脳科学総合研究センター 神経蛋白制御研究チーム 
 チームリーダー 西道 隆臣 (さいどう たかおみ) 
 専門職研究員 津吹 聡 (つぶき さとし) 
お問い合わせ先
脳科学総合研究センター 脳科学研究推進室
 Tel: 048-467-9757 / Fax: 048-462-4914
報道担当
理化学研究所 広報室 報道担当 
 Tel: 048-467-9272 / Fax: 048-462-4715
補足説明
- 1.アミロイドβペプチド(Aβ)
40~43個のアミノ酸が連なってできたペプチド(タンパク質断片)で、アミロイド前駆体タンパク質(APP)が、βセクレターゼやγセクレターゼと呼ばれる酵素によって切断されることで生まれる。アルツハイマー病では、脳内のAβが凝集して線維状になり、脳に沈着することが良く知られている。 - 2.アミロイド斑
アルツハイマー病の脳内で早期から見られる特徴的な病理変化。Aβが凝集して線維状になり、脳内で斑点状に沈着する。老人斑とも呼ばれる。 - 3.アルツハイマー病モデルマウス
アミロイド前駆体タンパク質(APP)遺伝子を染色体上の不特定部位に挿入させ、マウス脳内でAPPを過剰に発現させることで、結果的にAβを過剰に蓄積するようになった遺伝子改変マウス。加齢とともに学習・記憶能力などの認知機能に障害を示すようになる。アルツハイマー病モデルマウスとして世界中で使用されている。 - 4.Atg7遺伝子
タンパク質分解、DNA修復などさまざまな生命現象に関与する76残基のアミノ酸で構成されるタンパク質としてユビキチンがある。Atg7は、2つのユビキチン様タンパク質を活性化するユビキチン活性化酵素であり、細胞の自食機能において重要な役割を担っている。 Atg7遺伝子はAtg7を作る遺伝子。 - 5.モ-リス水迷路試験
水を入れた大きな円形プールの中に設置してある逃避台までマウスを泳がせて、空間学習の効果を測定する課題。1981年にリチャード G.モーリスによって考案された。 - 6.ハイスループットスクリーニング
膨大な種類の化合物から構成される化合物ライブラリーの中から、創薬ターゲットに対して活性を持つ化合物の選別・同定に使用される方法。 
 
 図1 20ヶ月齢マウス脳内におけるアミロイド斑の蓄積の様子
アルツハイマー病モデルマウス(左)と比較して掛け合わせマウス(右)では、アミロイド斑(緑色の斑点)の蓄積量が約70分の1に激減した。
 
 図2 今回発見した細胞の自食の新たな機能
細胞内には、異常・過剰なタンパク質をすみやかに分解・リサイクルする重要な仕組みとして「細胞の自食」がある。今回の実験により、自食には過剰なAβを分解するだけでなく、Aβを細胞外に放出するという新たな機能(青矢印)があることが分かった。
 
 図3 15ヶ月齢のマウス脳内における神経細胞の様子
掛け合わせマウスでは、神経細胞が死滅して脳が萎縮し、重量も減少していた。
 
 図4 15ヶ月齢マウスの行動実験による記憶障害の様子
掛け合わせマウスは、学習能力が低下し、記憶障害が発生した。到達時間が遅いほど、学習能力が低下し、記憶障害が起こっている。
