2015年6月16日
								理化学研究所
東京大学
日本原子力研究開発機構
新しい物質を実現するイリジウム酸化物の性質を解明
-超格子薄膜技術による低消費電力デバイスの実現に向けて-
要旨
理化学研究所(理研)石橋極微デバイス工学研究室の松野丈夫専任研究員らの国際共同研究グループ※は、原子レベルの超格子薄膜技術[1]を用いてイリジウム酸化物の電子相を制御し、磁性の出現と絶縁体化が密接に関係していることを解明しました。
近年、低消費電力デバイス実現のための材料として、トポロジカル絶縁体[2]が注目されています。トポロジカル絶縁体の中には、理論的に実現可能と指摘されながらも、その発見に至っていないものがあります。そんな中、新しいトポロジカル絶縁体として期待されているのが、イリジウム酸化物です。イリジウム酸化物は、電子のスピン[3]と軌道運動の磁気的な相互作用である「スピン‐軌道相互作用[4]」と、電子同士の相互作用である「電子相関[5]」を併せ持つ物質です。この2つの相互作用の共存はこれまでにない「電子相関の効いたトポロジカル絶縁体」につながる可能性があると指摘されています。しかし、イリジウム酸化物は結晶構造の種類が少ないため、個別のイリジウム酸化物を対象とした研究は進んできたものの、イリジウム酸化物全体の性質を体系的に理解できていませんでした。
国際共同研究グループは、原子レベルで薄膜を積み重ねることができるパルスレーザー堆積法技術を用いて、ペロブスカイト構造[6]を持つイリジウムの酸化物(SrIrO3)薄膜とチタンの酸化物(SrTiO3)薄膜を交互に積み重ねた超格子構造[1]を作製しました。これにより、イリジウム酸化物の電子相を精密に制御することが可能になり、磁性を持った絶縁体相から特殊な金属の一種である半金属相へと電子相が変化していく様子を連続的にとらえることに成功しました。その結果、イリジウム酸化物における磁性の出現と絶縁体化が密接に関係していることを明らかにしました。
本研究は、スピン‐軌道相互作用と電子相関の系統的な理解をもたらすとともに、イリジウム酸化物において期待されるさまざまな電子相を超格子構造によって自在に制御する可能性を示しました。理論で予測されながらも発見されていない新たな種類のトポロジカル絶縁体の実現、さらには低消費電力デバイスへの応用が期待できます。
本研究は、文部科学省科学研究費補助金・新学術領域研究「対称性の破れた凝縮系におけるトポロジカル量子現象」における公募研究「超格子バンドエンジニアリングによるトポロジカル絶縁体の実現」および文部科学省科学研究費補助金・基盤研究S「重い5d遷移金属酸化物のスピン軌道相互作用と新奇電子相」の一環として行われました。成果は米国物理学会『Physical Review Letters』に近日中に掲載されます。
※国際共同研究グループ
理化学研究所 石橋極微デバイス工学研究室
 専任研究員 松野 丈夫(まつの じょうぶ)
東京大学 理学系研究科
 教授 髙木 英典(たかぎ ひでのり)
東京大学 物性研究所
 准教授 和達 大樹(わだち ひろき)(研究当時:東京大学工学研究科特任講師)
日本原子力研究開発機構 量子ビーム応用研究センター
 研究主幹 石井 賢司(いしい けんじ)
トロント大学 物理学科
 教授 Hae-Young Kee(ヘヤン・キ)
背景
電子のスピンと軌道運動の間で起こる磁気的な相互作用である「スピン‐軌道相互作用」と、電子同士の相互作用である「電子相関」が、どのように作用し合うのかは、近年の固体物理学の大きな課題です。電子相関は銅酸化物の高温超伝導を生むことから幅広く研究されてきました。一方、スピン‐軌道相互作用はトポロジカル絶縁体という新しい物質の実現に必要であることから注目を集めています。トポロジカル絶縁体は、低消費電力デバイス実現のための材料として有効と言われており、特に、スピン‐軌道相互作用と電子相関という2つの相互作用の共存は「電子相関の効いたトポロジカル絶縁体」という未知の物質につながる可能性があると理論的に指摘されています。その可能性を持つ代表的な物質として、大きなスピン‐軌道相互作用を持つイリジウム酸化物が挙げられますが、結晶構造の種類が少ないため、個別のイリジウム酸化物を対象とした研究は進んできたものの、イリジウム酸化物全体の性質を体系的には理解できていませんでした。
研究手法と成果
国際共同研究グループは、原子レベルで薄膜を積み重ねることができるパルスレーザー堆積法技術を用いて、ペロブスカイト構造を持つイリジウム酸化物(SrIrO3)の薄膜とチタン酸化物(SrTiO3)の薄膜を交互に積み重ねた超格子構造を作製しました。チタン酸化物薄膜に挟まれたイリジウム酸化物薄膜の枚数を制御することにより、これまでの物質合成では達成できなかった、0.4ナノメートル(nm、1nmは10億分の1メートル)という原子2個程度の極微細なスケールで結晶構造を制御することに成功しました(図1)。これによって、イリジウム酸化物の電子相を制御することが可能になりました。
作製した超格子構造の物性を調べたところ、チタン酸化物薄膜に挟まれたイリジウム酸化物薄膜の枚数(m)が1または2と少ない超格子構造は、非常に小さい磁化を持つ絶縁体であることがわかりました。また、磁化が発生すると電気抵抗率が上昇することも明らかになりました。この超格子構造では電子相関の寄与が大きいと考えられます。さらに、大型放射光施設「SPring-8」[7]および「フォトンファクトリー」[8]の放射光を用いてm=1のスピン構造を決定したところ、磁性が電子相関だけでなくスピン‐軌道相互作用の影響を強く受けていることも明らかになりました。
超格子構造はmを増やすにつれて、より金属的になると同時に磁性が不安定になることも分かりました。m=4またはm=∞(チタン酸化物薄膜を挟まないイリジウム酸化物のみの薄膜)では、磁性が消失するとともに、電子とホールがともに伝導に寄与する特殊な金属である半金属となりました。この半金属相では、スピン‐軌道相互作用は重要な役割を果たす一方で、電子相関は関与しません。さらに、中間のm=3は絶縁体と半金属の境目に位置し、磁性が消失する点となっています(図2)。これらの結果は、イリジウム酸化物における磁性の出現と絶縁体化が密接に関係していることを示しています。
今後の期待
国際共同研究グループは、原子レベルの超格子薄膜技術を用いることでイリジウム酸化物薄膜の電子相を自在に制御することに成功しました。それによって初めて、磁性の出現と絶縁体化の密接な関係を解明し、電子相関とスピン‐軌道相互作用が共存するイリジウム酸化物の特徴を系統的に明らかにしました。
本研究は、スピン‐軌道相互作用と電子相関が共存するイリジウム酸化物において期待されるさまざまな電子相を、超格子構造によって自在に制御する可能性を示しました。理論的に指摘されている「電子相関の効いたトポロジカル絶縁体」をイリジウム酸化物で実現し、低消費電力デバイスへ応用することが期待できます。
原論文情報
- J. Matsuno, K. Ihara, S. Yamamura, H. Wadati, K. Ishii, V. V. Shankar, Hae-Young Kee, H. Takagi, "Engineering a spin-orbital magnetic insulator by tailoring superlattices", Physical Review Letters
 
発表者
 理化学研究所 
 主任研究員研究室 石橋極微デバイス工学研究室 
 専任研究員 松野 丈夫(まつの じょうぶ) 
 
  松野 丈夫とパルスレーザー堆積法薄膜合成装置
 
報道担当
理化学研究所 広報室 報道担当
 Tel: 048-467-9272 / Fax: 048-462-4715
東京大学物性研究所総務係
 Tel: 04-7136-3501 / Fax: 04-7136-3216
 issp-somu2 [at] issp.u-tokyo.ac.jp(※[at]は@に置き換えてください。 )
日本原子力研究開発機構 広報部報道課
 Tel: 03-3592-2346
補足説明
- 1.超格子薄膜技術、超格子構造
異種の物質をナノスケールで交互に積層すると、元の物質では得られない特性や、効果が得られ、これを超格子と呼ぶ。 - 2.トポロジカル絶縁体
近年発見された物質で、物質内部が絶縁体である一方、物質表面だけは金属であるという性質を持つ。散逸の少ないデバイスの材料として注目されている。これまでに発見されたトポロジカル絶縁体は、電子相関の関与しないものだけである。 - 3.スピン
粒子の持つ量子力学的な内部自由度(粒子を区別する性質)の1つ。しばしば、粒子の自転として解釈される。電子のスピンは磁性の根源である。 - 4.スピン‐軌道相互作用
電子の自転運動によって生じる「スピン角運動量」と電子が原子核の周りを周回運動すること(軌道運動)によって生じる「軌道角運動量」との間に働く相対論的相互作用。原子番号が大きい(重い)元素ではより大きくなる。 - 5.電子相関
通常の半導体や金属では、電子はほぼ自由に振る舞うのに対し、遷移金属の酸化物では電子同士がお互いに強く作用し合いかろうじて動く状態となる。このような相互作用を電子相関と呼ぶ。 - 6.ペロブスカイト構造
遷移金属酸化物の代表的な結晶構造の1つ。酸化物の場合、ATO3やA2TO4(Aはランタノイドあるいはアルカリ土類金属、Tは遷移金属)の組成式で表される。電子機器に用いるチップコンデンサではTにチタンが入った酸化物が用いられ、高温超伝導はTに銅が入った酸化物で出現する。 - 7.大型放射光施設「SPring-8」
兵庫県の播磨科学公園都市にある世界最高エネルギーの放射光を生み出す理研の施設で、その運転管理と利用者支援などは高輝度光科学研究センター(JASRI)が行っている。SPring-8の名前はSuper Photon ring-8 GeV(ギガ電子ボルト)に由来している。放射光とは、電子を光速に近い速度まで加速し、電磁石によって進行方向を曲げた時に発生する強力な電磁波のことである。SPring-8では、この放射光を用いて、ナノテクノロジー、バイオテクノロジーや産業利用まで幅広い研究が行われている。 - 8.「フォトンファクトリー」
光(Photon)の工場(Factory)の愛称で親しまれているPFは日本初のX線を利用出来る放射光専用光源として、1982年に完成した。数度の大改修を経て輝度を高めるとともに、最新技術の実験装置の整備により、世界最先端の研究成果を創出している。このような大型施設は、大学などが単独で維持管理することが難しいため、大学や研究機関が共同で利用実験するための施設(大学共同利用機関)としてつくば市の高エネルギー加速器研究機構で運用している。 
 
 図1 作製した超格子と走査透過電子顕微鏡像
- 上: 本研究で作製した超格子の模式図。mはイリジウム酸化物の枚数を表す。
 - 下: m=1の走査透過電子顕微鏡像。明るい層(イリジウム)と暗い層(チタン)が交互に積層していることが分かる。
 
 
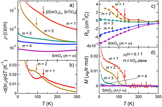
 図2 作製した超格子の物性
左は電気抵抗率およびその温度微分、右上はホール係数、右下は面内の磁化のグラフ。赤線はm=1、黄線はm=2、緑線はm=3、青線はm=4、紫線はm=∞(イリジウム酸化物薄膜のみ)を示す。電気抵抗率からはm=1、2が絶縁体、m=4、∞が金属であると言える。赤矢印(m=1)および黄矢印(m=2)は電気抵抗率の上昇に異常が見られる温度を表し、磁化の立ち上がる温度ともよく一致する。すなわちm=1、2は磁性と強く結合した絶縁体であると言える。一方、m=4、∞はホール係数の温度依存性から特殊な金属の一種である半金属であることが分かる。また、m=3は電気抵抗率、ホール係数、磁化においてm=1、2とm=4、∞の中間に位置し、ほぼ磁化が消失する点であると言える。
