要旨
理化学研究所(理研)計算科学研究機構 複合系気候科学研究チームの西澤誠也研究員、富田浩文チームリーダーと、北海道大学の小高正嗣助教、石渡正樹准教授、神戸大学の高橋芳幸准教授、林祥介教授、松江工業高等専門学校の杉山耕一朗准教授、九州大学の中島健介助教、京都大学の竹広真一准教授らの共同研究グループ※は、スーパーコンピュータ「京」[1]を用いた超高解像度シミュレーションにより、火星[2]大気中の「塵旋風[3](じんせんぷう)」を大量に再現し、その大きさや強さの統計的性質を明らかにしました。
晴天時の日中、地球の砂漠などの乾燥地では渦巻き状に立ち上がる突風が生じることがあります。この突風は地表付近の塵を大気中に巻き上げることから塵旋風と呼ばれ、英語では塵の悪魔、「Dust Devil(ダストデビル)」と呼ばれます。火星ではダストデビルが頻発し、それが大きな砂嵐へつながることもあり、時には火星全体を覆うほどの巨大な砂嵐として観測されます。
火星大気中の塵は気象と気候、およびその変動に大きな影響を与えることが知られていますが、塵の量や分布がどのように決まるのかは分かっていません。ダストデビルにより塵が地表から大気中へ巻き上がることがその要因の一つとして考えられています。これまでの火星の観測によってダストデビルの頻度や大きさはある程度分かってきましたが、観測だけではダストデビルの数が少ないため、多くの情報を得ることは困難でした。そこで計算機による火星大気のシミュレーションが試みられました。しかし、ダストデビルの渦とそれを生み出す大気運動の規模には大きな隔たりがあるため、両者を同時計算するためには莫大な計算能力が必要であり、従来のコンピュータでは性能が不足していました。
共同研究グループは、理研が開発した大気ラージエディシミュレーション(LES)[4]の数値モデル「SCALE-LES[5]」に火星大気の設定を組み込み、スーパーコンピュータ「京」でシミュレーションを行いました。水平・鉛直方向ともに約20キロメートル(km)の広い領域を約500億個に上る立方体の格子に分割し、約200時間をかけてシミュレーションした結果、3,000個を超えるダストデビルを発生させることに成功しました。また、ダストデビルの大きさや強さの統計的性質を解析することで、どのくらいの規模のダストデビルがどのくらいの頻度で存在するかが分かるようになりました。
今後、さらにシミュレーションを重ねて、ダストデビルが発生する季節や場所による違いを明らかにすることにより、火星天気予報の実現や、無人探査機のみならず有人探査機における火星への着陸・地上活動に貢献すると期待できます。
本研究は、米国の科学雑誌『Geophysical Research Letters』(5月16日号)に掲載され、同誌ウェブサイトでハイライトされました。また、米国の科学雑誌『Eos Earth & Space Science News』(6月23日付)のリサーチスポットライトでも取り上げられました。
※共同研究グループ
理化学研究所 計算科学研究機構 複合系気候科学研究チーム
 研究員 西澤 誠也(にしざわ せいや)
 研究員 八代 尚(やしろ ひさし)
 基礎科学特別研究員 佐藤 陽祐(さとう ようすけ)
 チームリーダー 富田 浩文(とみた ひろふみ)
北海道大学 大学院理学研究院
 助教 小高 正嗣(おだか まさつぐ)
 准教授 石渡 正樹(いしわたり まさき)
神戸大学 大学院理学研究科
 准教授 高橋 芳幸(たかはし よしゆき)
 教授 林 祥介(はやし よしゆき)
松江工業高等専門学校 情報工学科
 准教授 杉山 耕一朗(すぎやま こういちろう)
九州大学 大学院理学研究院
 助教 中島 健介(なかじま けんすけ)
京都大学 数理解析研究所
 准教授 竹広 真一(たけひろ しんいち)
背景
塵旋風(じんせんぷう)は、地表付近で渦巻状に立ち上がる突風、いわゆるつむじ風のことです。地表の砂や塵を大気中に巻き上げることで渦状の流れが目に見える姿となっている場合が多く、塵を冠してこう呼ばれます。英語では塵の悪魔、「Dust Devil(ダストデビル)」と呼ばれます。地球上では晴天時に砂漠、身近なところでは校庭のような乾燥した土の上でよく見られます(図1)。
火星のダストデビルは中低緯度の至るところで生じ、その大きさも地球でよく見られるつむじ風のような小さなものから、竜巻をはるかにしのぐ巨大なものまで、さまざまなタイプが存在します。火星への探査計画において、ダストデビルは火星地表面への着陸や地上活動に大きな影響を及ぼすことが予想されるため、その性質を明らかにすることは重要です。また、ダストデビルが火星地表面から大気中に巻き上げた塵が、太陽光を吸収・遮断し、火星大気の全球規模の循環を変えてしまうこともあります。そのため、火星の大規模な大気運動を学術的に理解するためには、ダストデビルの統計的な描像を把握することが必要です。
アメリカ航空宇宙局(NASA)による1970年代のバイキング1号、2号[6]、1990年代後半から2000年代前半のスピリットやマーズ・グローバル・サーベイヤー[7]などの無人火星探査機により、火星の地表面にはダストデビルが至るところに存在していることが明らかになりました(図2)。しかし、観測されたダストデビルの数は限られ、また、ほとんどは巻き上げられた塵の静止画や動画であり奥行きなど正確な渦の性質を得るために必要な情報が足りないことから、大きさや強さに関する推定上の誤差が大きく、ダストデビルの統計的性質についての議論は限定的にしか行えませんでした。
そこで、計算機で火星大気のシミュレーションを行いダストデビルを表現し、その性質を解明しようという試みが行われてきましたが容易ではありませんでした。ダストデビルの水平スケールは数メートル(m)~数百mであるのに対して、ダストデビルを生み出す原因となる大気の対流活動の水平スケールは最大10km程度と、両者には大きな隔たりがあります。このように、小さなダストデビルと大きなスケールの対流活動を同時にシミュレーションするには、大きな領域を非常に細かい格子に分けて計算する必要があります。それには莫大な計算能力が必要なため、従来のコンピュータの性能ではダストデビルの解像(像を細部まで表現すること)と対流運動の再現のどちらかを諦めざるを得ませんでした。そのため、両方を同時計算できる性能を持つ計算機によるシミュレーションが求められていました。
研究手法と成果
共同研究グループは、理研が開発した大気ラージエディシミュレーション(LES)の数値モデル「SCALE-LES」に火星大気の設定を組み込みました。小さなダストデビルを解像すると同時に大きなスケールの対流活動を再現するために、水平方向、鉛直方向ともに約20kmの広い領域を一辺が5mの立方体の細かい格子で分割しました。すると、計算領域全体での格子数は約500億個に上りました。そして、LESにより従来よりも信頼性の高いシミュレーションを行いました。具体的には1時間分のシミュレーションをスーパーコンピュータ「京」のシステム全体の約10分の1に相当する57,600コア[8]を使って、約200時間をかけて行いました。
その結果、最も対流活動が活発になる時刻(夏期、黄径100度、北緯20度、14時30分)において、3,000個以上のダストデビルを発生させることに成功しました(図3)。これは、1平方キロメートル(km2)当たり8個以上のダストデビルが存在することを意味しています。また、得られたダストデビルの大きさは水平半径が数mから数百mに及び、強さは最大風速が1m/sから数十m/sまで、さまざまなものが存在していました。
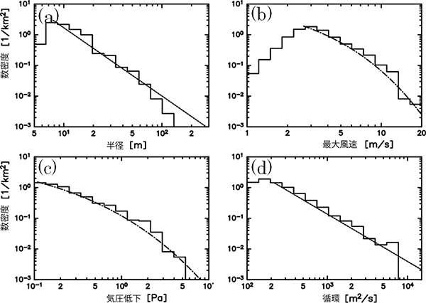
これほど多くのサンプルがあると、どのような大きさや強さのダストデビルがどのくらい存在するのかを、統計的な確からしさをもって性質を明らかにできます。本研究では、これまで曖昧だったダストデビルの水平半径、最大風速、気圧低下、循環[9]などの性質の頻度分布を明らかにしました(図4)。これまでは個別にしか調べることができなかったダストデビルの性質が、本研究により統計的かつ定量的に明らかになりました。
今後の期待
今回、高解像度のシミュレーションにより得られた知見は、より粗い解像度の実験の精緻化へつながります。火星大気の大きなスケールの運動とダストデビルの統計的な性質の関係性が明らかになることで、ダストデビルを直接解像できないシミュレーションにおいても、その影響をより正確に取り入れることが可能になるからです。
本成果は惑星規模の大気現象をシミュレーションすることが必要な火星天気予報に向けた大きな一歩です。近年、火星有人探査計画が現実味を帯びてきていますが、そのためには季節変化や地理的な分布を含めたダストデビルの統計的性質をより詳細に把握し、火星天気予報技術を確立することが必要だと考えられます。本研究を皮切りに火星ダストデビルや火星気象予測の研究が進み、新たな火星探査への道が切り開かれると期待できます。
原論文情報
- Nishizawa, S., M. Odaka, Y. O. Takahashi, K. Sugiyama, K. Nakajima, M. Ishiwatari, S. Takehiro, H. Yashiro, Y. Sato, H. Tomita, and Y.-Y. Hayashi, "Martian dust devil statistics from high-resolution large-eddy simulations", Geophysical Research Letters, doi: 10.1002/2016GL068896
 
発表者
 理化学研究所 
 計算科学研究機構 研究部門 複合系気候科学研究チーム 
 研究員 西澤 誠也(にしざわ せいや) 
 チームリーダー 富田 浩文(とみた ひろふみ) 
 
  西澤誠也研究員
 
  富田浩文チームリーダー
 北海道大学 大学院理学研究院
 助教 小高 正嗣(おだか まさつぐ)
 准教授 石渡 正樹(いしわたり まさき) 
神戸大学 大学院理学研究科
 准教授 高橋 芳幸(たかはし よしゆき)
 教授 林 祥介(はやし よしゆき)
松江工業高等専門学校 情報工学科
 准教授 杉山 耕一朗(すぎやま こういちろう)
九州大学 大学院理学研究院
 助教 中島 健介(なかじま けんすけ)
京都大学 数理解析研究所
 准教授 竹広 真一(たけひろ しんいち)
報道担当
理化学研究所 広報室 報道担当
 Tel: 048-467-9272 / Fax: 048-462-4715
北海道大学総務企画部広報課
 Tel: 011-706-2610
 kouhou [at] jimu.hokudai.ac.jp(※[at]は@に置き換えてください。)
神戸大学総務部広報課
 Tel: 078-803-6696
 ppr-kouhoushitsu [at] office.kobe-u.ac.jp(※[at]は@に置き換えてください。)
松江工業高等専門学校総務課総務係
 Tel: 0852-36-5111
 m-soumu [at] matsue-ct.jp(※[at]は@に置き換えてください。)
九州大学広報室
 Tel: 092-802-2130 / Fax: 092-802-2139
 koho [at] jimu.kyushu-u.ac.jp(※[at]は@に置き換えてください。)
京都大学企画・情報部広報課国際広報室
 Tel: 075-753-5727
 comms [at] mail2.adm.kyoto-u.ac.jp(※[at]は@に置き換えてください。)
補足説明
- 1.スーパーコンピュータ「京」
文部科学省が推進する「革新的ハイパフォーマンス・コンピューティング・インフラ(HPCI)の構築」プログラムの中核システムとして、理研と富士通株式会社が共同で開発を行い、2012年9月に共用を開始した計算速度10ペタFLOPS級のスーパーコンピュータ。 - 2.火星
太陽系の太陽に近い方から4番目の惑星で、地球のすぐ外側の軌道を公転している。直径は地球の約半分で、質量は約10分の1、地表での重力は約4割、表面積は約4分の1である。火星の大気は薄く、地表での大気圧は地球の約0.75%でしかない。大気組成は二酸化炭素が95%、窒素が3%、アルゴンが1.6%で、その他に酸素や水蒸気などが微量に含まれる。火星も地球と同じように自転軸が傾いている(約25度)ため、四季が訪れる。 - 3.塵旋風
強い日射により地表付近の温度が上がることによって大気の上昇気流が発生し、これに水平方向の強風が加わるなどして渦巻状に回転しながら立ち上る突風の一種。乾燥した塵などが激しく舞い上がることから塵旋風と呼ばれる。英語ではダストデビル(塵の悪魔)と呼ばれる。また、積乱雲から垂れ下がる漏斗(じょうご)状の激しい空気の渦巻きである竜巻とは根本的に異なる気象現象である。 - 4.ラージエディシミュレーション(LES)
経験的なパラメータを用いず、普遍的な流体物理学の法則に則った従来法より原理的な乱流表現で、より信頼性の高い結果が得られるシミュレーション手法。計算格子以上の渦はすべて計算し、格子以下の渦だけをモデル化するという空間平均による手法である。計算格子を小さくするほど高い精度の結果を得ることができる。LES:Large Eddy Simulation。 - 5.SCALE-LES
理研計算科学研究機構が開発した大気ラージエディシミュレーションの数値モデル。 - 6.バイキング1号、2号
1970年代にアメリカ航空宇宙局(NASA)が行った火星探査計画で、火星への着陸に成功した無人探査機。 - 7.マーズ・グローバル・サーベイヤー
NASAの無人火星探査機。1996年11月に打ち上げられ、1997年9月に軌道投入、2006年6月に通信が途絶えるまで火星の周回観測や地図作成を行った。Mars Orbiter Cameraと呼ばれる3種類のカメラを搭載し、多くのダストデビルの撮影に成功した。 - 8.コア
コンピュータの中央演算処理装置(CPU)内に収められた演算処理回路。コアごとに異なる演算を処理することができる。近年のCPUには複数のコアが搭載されているものが多い。 - 9.循環
渦の強さを表す物理量。渦の回転の強さと面積に比例する。 
 
 図1 塵旋風(ダストデビル)や竜巻などの大きさの比較
左から地球のダストデビル、地球の竜巻、火星のダストデビル、地球のヒマラヤ山脈(標高8,000m級)を示している。奥に見えるのは、火星のオリンポス山(火山)で標高約21,900m、太陽系で最も高い山として知られる。(NASA/JPL)
 Wind Action--The Dust Devils of Amazonis Planitia(英語)
 
 図2 火星のダストデビル
左の方に白く見えるのが、2005年にNASAの無人火星探査機「スピリット」で撮影されたダストデビル。ダストデビルの直径は約34m、約4.8m/sの速さで、約1.6kmの距離を9分35秒かけて移動した。(NASA/JPL)
 Wind-Driven Traveler on Mars (Spirit Sol 486)(英語)(動画)
 
 図3 火星ダストデビルのシミュレーション結果
(a):高度62.5mにおける計算領域全体での鉛直流の速度の水平分布。暖色が上昇流、寒色が下降流を表している。
 (b):(d)の三次元構造。
 (c):(a)の四角の領域での鉛直流の速さの水平分布を拡大した図。
 (d):(a)の四角の領域での渦の強さの指標の水平分布。暖色が反時計回り、寒色が時計回りの渦を表している。
 
 図4 ダストデビルの各種性質の頻度分布
(a):水平半径の頻度分布。直線は、べき乗分布(確率分布の一種)を表している。水平半径が数mのダストデビルの発生頻度が最も高く、水平半径が大きくなるとともに低くなる。水平半径が百数十mを超えるものも存在する。
 (b):最大風速の頻度分布。一点鎖線はワイブル分布(確率分布の一種)を表している。最大風速は3m/s程度から、速いものは20m/s程度である。速いものの頻度がだんだん減っていく。
 (c):中心気圧低下の頻度分布。一点鎖線はワイブル分布。中心気圧の低下は1パスカル(Pa)程度から大きくなるほど発生頻度は少なくなる。強いものでは5Pa以上低下するものも存在する。
 (d):循環の頻度分布。直線は、べき乗分布を表している。循環の大きさが減少するにつれて頻度は少なくなり、強いものは10,000m2/s程度である。
