要旨
理化学研究所(理研)環境資源科学研究センター合成ゲノミクス研究グループの大窪(栗原)恵美子特別研究員、松井南グループディレクター、バイオマス研究基盤チームの大谷美沙都客員研究員(奈良先端科学技術大学院大学 助教)らの共同研究グループ※は、ラサロシドナトリウム(Lasalocid sodium、LS)[1]という有機化合物が植物の細胞壁[2]を厚くさせること、および細胞壁の酵素糖化[3]効率を促進させることを発見しました。
近年、石油などの化石燃料の枯渇が刻々と進行するとともに、地球温暖化が深刻な問題となっています。そこで、化石燃料を代替するものとして、バイオマス[4]が利用され始めています。陸上に最も豊富に存在するバイオマスは植物から得られるセルロース系バイオマス[5]であり、その原料は植物細胞を囲む細胞壁に含まれる多糖です。より効率的な細胞壁の利用のためには、細胞壁の質的・量的な改変が必要です。しかし、細胞壁の合成、分解は非常に複雑であるため、遺伝子の解析と操作だけではその問題の解決は困難でした。
今回、共同研究グループは、細胞壁に何らかの変化が起こると細胞形態も変化することが多いことに着目し、細胞形態の変化を指標とした細胞壁の質的・量的な改変剤候補として、約4,000化合物の中から22種の化合物を選び出しました。さらにこの中から、カルコフロー[6]で細胞を染色すると細胞壁が発する蛍光が強まる化合物としてLSを見出しました。LSで処理した細胞を電子顕微鏡によって観察した結果、細胞壁が厚くなっていることが分かりました。さらに、マイクロアレイ解析[7]を行った結果、タイプⅢペルオキシダーゼ遺伝子群[8]の発現が上昇していることが分かりました。DAB染色[9]によりペルオキシダーゼ[8]の活性が確認され、これが細胞壁の膨潤(物質が溶媒を吸収して体積を増加する現象)につながったと考えられます。また、LSで細胞を処理すると、細胞壁の酵素糖化効率が促進されることが明らかになりました。以上の結果から、LSは細胞壁構造を変化させることにより、細胞壁の利用効率を改変できる化合物であることが示されました。
今後、LSは細胞壁の効率的な酵素糖化促進剤になると期待できます。
 本研究は、英国のオンライン科学雑誌『Scientific Reports』(10月3日付け:日本時間10月3日)に掲載されました。
※共同研究グループ
理化学研究所 環境資源科学研究センター バイオマス工学研究部門
 合成ゲノミクス研究グループ
 特別研究員 大窪(栗原)恵美子(おおくぼ-くりはら えみこ)
 研究員 栗原 志夫(くりはら ゆきお)
 グループディレクター 松井 南(まつい みなみ)
バイオマス研究基盤チーム
 客員研究員 大谷 美沙都(おおたに みさと)(奈良先端科学技術大学院大学 助教)
 客員主管研究員 出村 拓(でむら たく)(奈良先端科学技術大学院大学 教授)
環境代謝分析研究チーム
 チームリーダー 菊地 淳(きくち じゅん)
背景
近年、化石燃料の枯渇問題や、地球温暖化などの環境問題に対する有効な解決策として、植物バイオマスを利用した炭素循環型社会の形成が進み始めています。植物バイオマスは、陸上で最も豊富に存在するバイオマスです。特に、植物細胞の細胞壁は、細胞生長、形態や体制の維持など多くの機能を持つ構造物であり、植物にとっての重要性はもちろんのこと、バイオマスとしても非常に重要な資源です。植物の細胞壁に最も多く含まれるセルロース系原料は、最終的には単糖へ変換され利用されます。この工程を酵素により行うことを「酵素糖化」といい、酵素糖化をいかに効率化して行うかが、セルロース系バイオマス利用の実現に向けての課題です。
しかしこれまでの研究から、細胞壁に関連する遺伝子の機能は複雑で、時には複数の遺伝子の機能が重複すること(冗長性)が示されています。そのため遺伝子の解析や操作により、細胞壁の劇的な質的・量的な変化を起こすことは非常に困難でした。一方、近年になりケミカルバイオロジーを用いたアプローチから、細胞壁の構造変化に関与する低分子化合物がいくつか同定されるとともに、新しい発見が生まれています。ケミカルバイオロジー[10]は、遺伝子解析で問題となる冗長性や致死性を解決できる有用な手法です。本研究では、バイオマス工学にケミカルバイオロジーからアプローチすることにより、セルロース系バイオマス利用の実現に向けた課題解決を試みました。
研究手法と成果
共同研究グループは、ケミカルバイオロジーと同時に多数の画像データの取得とフェノーム解析[11]とを組み合わせたケミカルフェノミクスにより、細胞壁の構造を変化させるのに有用な低分子化合物の探索・機能解析を行いました。
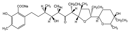
まず、植物の細胞壁に何らかの変化が起こると細胞形態に変化が引き起こされることが多いことに着目し、この変化を指標として、約4,000化合物の中から22種を有用な化合物の候補として選びました。次に、それらの化合物で処理した細胞をセルロースの染色試薬であるカルコフローで染色し、強い蛍光強度を示した化合物の一つであるラサロシドナトリウム(Lasalocid sodium、LS)(図1)について解析を進めました。
電子顕微鏡を用いて、タバコBY-2の細胞壁の構造を観察しました。その結果、LS無処理時と比較して、濃度1.0マイクロM (μM、1μMは100万分の1M)のLSを処理した場合は、細胞壁の厚さが約2倍になっていることが分かりました(図2)。
また、マイクロアレイ解析の結果、LSを処理したシロイヌナズナの芽生えにおいて、タイプⅢペルオキシダーゼ遺伝子群の発現および活性が上昇することが分かりました。DAB染色の結果からも、確かにLS処理によってペルオキシダーゼが生成されることが分かりました。さらに、LS処理によって、シロイヌナズナでは植物細胞同士の接着に関わる細胞壁多糖成分のペクチンや、ヘミセルロースの一種のキシログルカンなどに変化が起こることも分かりました。以上の結果から、LS処理によってペルオキシダーゼの活性上昇が起こること、さらにはこれによる細胞壁構造変化によって、細胞壁の膨潤(物質が溶媒を吸収して体積を増加する現象)が引き起こされると推測されます。
最後に、細胞壁の酵素による糖化効率を測定した結果、LSを処理すると細胞壁の糖化効率が約1.3倍上昇することが分かりました。これは、細胞壁構造変化によって、糖化酵素がより細胞壁成分多糖とアクセスしやすくなったためだと考えられます。
今後の期待
現在実用化が考えられているセルロース系バイオマスの糖化には、大きく酸糖化と酵素糖化の二つの方法があります。酵素糖化は酸糖化と比較すると低温での糖化が可能であり、収率が高いという利点があります。今回同定された低分子化合物のLSは、酵素糖化の効率を上げる画期的な補助剤となると期待できます。また、LSは植物種を選ばずに処理することができるため、広い応用につながると考えられます。
原論文情報
- Emiko Okubo-Kurihara, Misato Ohtani, Yukio Kurihara, Koichi Kakegawa, Megumi Kobayashi, Noriko Nagata, Takanori Komatsu, Jun Kikuchi1, Sean Cutler, Taku Demura, Minami Matsui, "Modification of plant cell wall structure accompanied by enhancement of saccharification efficiency using a chemical, lasalocid sodium", Scientific Reports, doi: 10.1038/srep34602
 
発表者
 理化学研究所 
 環境資源科学研究センター バイオマス工学研究部門 合成ゲノミクス研究グループ 
 特別研究員 大窪(栗原) 恵美子(おおくぼ-くりはら えみこ) 
 グループディレクター 松井 南(まつい みなみ) 
 
 環境資源科学研究センター バイオマス工学研究部門 バイオマス研究基盤チーム 
 客員研究員 大谷 美沙都(おおたに みさと) 
 (奈良先端科学技術大学院大学 バイオサイエンス研究科 助教) 
  大窪(栗原)恵美子
 
  大谷 美沙都
 報道担当
理化学研究所 広報室 報道担当
 Tel: 048-467-9272 / Fax: 048-462-4715
奈良先端科学技術大学院大学 企画・教育部 企画総務課 広報渉外係
 Tel: 0743-72-5026 / Fax: 0743-72-5011
 s-kikaku [at] ad.naist.jp(※[at]は@に置き換えてください。)
補足説明
- 1.ラサロシドナトリウム(Lasalocid sodium、LS)
ラサロシドはポリエーテル系の抗生物質で、1価および2価の陽イオンを結合するカルボン酸イオノフォアである。細菌 Streptomyces lasaliensisが産生する。ラサロシドナトリウムは、ラサロシドにナトリウムイオン(Na+)が結合したもの。日本では、ニワトリおよびウシの飼料添加物として指定されている。 - 2.細胞壁
植物細胞では細胞の最も外側を囲む構造物であり、植物の防御応答・生長・形態形成などに重要な役割を果たす。陸上に最も多量に存在するバイオマスである。 - 3.酵素糖化
酵素により、多糖類を単糖に分解すること。本研究ではセルロース(グルコースが多量につながった多糖)を分解酵素セルラーゼで処理することにより、グルコースへと変換することを指す。 - 4.バイオマス
直訳すると、バイオ=生物、マス=量。生物由来で再生可能な生物資源のこと。 - 5.セルロース系バイオマス
セルロースを主体としたバイオマスのことであり、具体的には植物細胞壁のことを示す。多糖類であるセルロースとヘミセルロースは糖化処理によって単糖化することにより、バイオエタノールやバイオマテリアルへの原料として利用することが期待されている。 - 6.カルコフロー
セルロースのβ-1,4グルカン構造に結合し、蛍光を発する染色試薬。細胞壁、主にセルロースを可視化するために用いる。 - 7.マイクロアレイ解析
ゲノムにコードされている全遺伝子の発現量を知ることができる解析法。 - 8.タイプⅢペルオキシダーゼ遺伝子群、ペルオキシダーゼ
ぺルオキシダーゼは酸化還元酵素の一種。過酸化水素または有機過酸化物による還元性の有機化合物、たとえばアスコルビン酸やp(パラ)-アミノ安息香酸などの酸化を触媒する酵素。ぺルオキシダーゼ遺伝子はぺルオキシダーゼの発生を制御し、ROSやH2O2のレベルを制御することにより細胞の形態や伸長を制御している。また、タイプⅢのぺルオキシダーゼ遺伝子のリグニン蓄積への関与が知られている。 - 9.DAB染色
DAB(3, 3’-ジアミノベンジジン四塩酸塩)溶液を基質として用い、ペルオキシダーゼが存在すると無色のDAB溶液が茶色へと変色することを利用して、ペルオキシダーゼの検出に使用した。 - 10.ケミカルバイオロジー
薬品が生物に与える影響から、根底にあるメカニズムを探る研究手法。遺伝子解析で問題となる冗長性や致死性の回避や、ゲノムの解読されていない生物種にも処理できるといったメリットがある。 - 11.フェノーム解析
ある個体が持つ表現型を網羅的に解析すること。 
 
 図1 ラサロシドナトリウム(LS)の構造式
分子式C34H53 NaO8の低分子化合物。抗菌剤として家畜の飼料添加物として利用されている。
 
 図2 LS処理前後の細胞壁の厚さの変化
タバコBY-2培養細胞に濃度1.0μMのLSで2日間処理すると、細胞壁の厚さが約2倍になった。
