要旨
理化学研究所(理研)理論科学連携研究推進グループ階層縦断型物性物理学研究チームのビョン・ヒュン・キム協力研究員、創発物性科学研究センター計算量子物性研究チームの白川知功研究員と柚木計算物性物理研究室の柚木清司准主任研究員らの研究グループは、イリジウム酸化ナトリウム(Na2IrO3)やアルファ-塩化ルテニウム(α-RuCl3)などの絶縁体に、相対論的モット絶縁体[1]を特徴づける励起状態を発見しました。
近年、ハニカム(蜂の巣)構造を持つ相対論的スピン軌道相互作用[2]の強い4dおよび5d遷移金属化合物が注目を集めています。これらを代表する物質にNa2IrO3やα-RuCl3といった絶縁体がありますが、なぜ絶縁体になるかは二つの異なる機構が提案されていました。一つは、ハニカム格子の六角形構造を利用した局所的な分子軌道を形成することによって、バンド絶縁体[1]になる「分子軌道性バンド絶縁化機構」です。そしてもう一つは、相対論的スピン軌道相互作用の効果で出現する軌道が電子間クーロン斥力によって、モット絶縁体になる「相対論的モット絶縁化機構」です。しかし、これらの機構は極端な状況を想定したものであり、現実の物質がどちらの機構によって特徴付けられるか、その明確な判断基準はありませんでした。
そこで研究グループは、多体効果[3]とスピン軌道相互作用を厳密に取り扱ったクラスター計算[4]を行いました。その結果、ハニカム構造を持つ相対論的モット絶縁体では、スピン軌道相互作用と多体効果に起因する“特徴的な励起状態”が出現することを示しました。さらに、今回の計算結果と現在までに行われた光学伝導度[5]や共鳴非弾性X線散乱実験[6]の結果を比較することで、現存するNa2IrO3やα-RuCl3といった絶縁体は相対論的モット絶縁体に分類されることを示しました。
ハニカム格子上の相対論的モット絶縁体は、特殊な磁気交換相互作用によってキタエフスピン液体[7]などの実現が期待されています。本成果は、量子コンピュータに利用できるとされるキタエフスピン液体を含む新しい物質探索に向けた実験的手掛かりを与えると期待できます。
本研究は、米国の科学雑誌『Physical Review Letters』に掲載されるのに先立ち、オンライン版(10月24日付け)に掲載されました。
背景
相対論的スピン軌道相互作用の強い4dおよび5d遷移金属化合物は、電子の運動エネルギー、相対論的スピン軌道相互作用、および電子間クーロン斥力の三者がお互いに影響を及ぼしあうこと(協力現象)によって、異質な電子相、磁気相やトポロジカル相など、さまざまな新しい電子状態の発現が期待され、現在精力的に研究が進められています。これらの中で、遷移金属最外殻のt2g軌道[8]に5個の電子を持つハニカム(蜂の巣)格子構造の物質は、トポロジカル絶縁体[9]やキタエフスピン液体といった新しい電子状態が理論的には実現可能であるとして注目を集めています。この理論的示唆に合致するイリジウム酸化ナトリウム(Na2IrO3)やアルファ-塩化ルテニウム(α-RuCl3)といった現存するハニカム構造物質は、磁気秩序[10]を示す絶縁体である、すなわち、トポロジカル絶縁体やキタエフスピン液体ではないことが分かっています。それでもなお、こうした新しい電子状態実現のための手掛かりを与える物質として、その電子状態が精力的に調べられています。
これらの物質の電子状態を議論する際、鍵となるのは、それらがどのような機構によって絶縁体になっているかということです。これまでの先行研究で、二つの異なる絶縁化機構が提案されていました。一つは、ハニカム格子上のt2g軌道間の結合の仕方を利用し、局在した分子軌道を作ることによってバンド絶縁体になる「分子軌道性バンド絶縁体機構」です。もう一つは、相対論的スピン軌道相互作用が強い場合に出現するj軌道が電子間クーロン斥力によってモット絶縁体になる「相対論的モット絶縁体機構」です(図1)。
しかし、これらの機構はそれぞれ極端な状況を想定したものであり、t2g軌道間の結合、スピン軌道相互作用、および電子間クーロン斥力が同程度となる物質では、どちらの絶縁化機構によって特徴付けられるか、明確な判断基準はありませんでした。
研究手法と成果
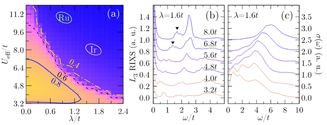
研究グループは、絶縁化機構の両者を対等に扱うことができる微視的クラスター模型を採用し、この量子多体問題[3]を厳密対角化法[11]で解くことで、これらの物質群で理論的に起こりうる電子状態を詳しく調べました。その結果、分子軌道性バンド絶縁体から相対論的モット絶縁体への移り変わりは、スピン軌道相互作用の大きさのみならず、電子間クーロン斥力が大きくなることによっても誘発されることが分かりました(図2(a))。
さらに、微視的クラスター模型を用いて光学伝導度や共鳴非弾性X線散乱といった実験を想定した場合のスペクトルを、パラメータの広い領域にわたって計算しました。その結果、二つの実験スペクトルは、分子軌道性バンド絶縁体相と相対論的モット絶縁体相の相境界を境に、全く異なる特徴を示すことが分かりました。特に、相対論的モット絶縁体相にみられる“特徴的な励起”として、図2(b)の▼に示す「励起子[12]的な励起」が現れることを示しました。また、計算によって得られたスペクトルを、現在までに報告されている実験結果や、理論計算によって見積もられているパラメータなどと照らし合わせると、Na2IrO3やα-RuCl3は分子軌道性バンド絶縁体ではなく、相対論的モット絶縁体に分類できることが分かりました(図2(a))。
今後の期待
絶縁化機構の理解は、競合する物理的な効果を適切に取り扱うことが難しいため、遷移金属化合物において論争を呼ぶ基礎的な問題です。本研究では、すべての競合する効果を捉えることができる模型に適切な数値的手法を用いて、現在注目を集めている物質に対して、この問題を解くことができました。
本成果は、4dおよび5d遷移金属化合物の基礎的な理解を進展させ、さらに光学伝導度測定や共鳴非弾性X散乱という実験手法が、物性物理一般において電子状態の本質を捉えるためのユビキタスな方法(あらゆる場面で活用できる方法)であることを示しています。また、本研究で示した励起子的励起の解釈は、これらの物質群における新しいタイプの束縛励起状態(電子とホールの束縛状態)を示唆するものです。今後、新しいIr4+やRu3+を含むハニカム格子物質が発見された際にも、分子軌道性バンド絶縁体であるか相対論的モット絶縁体を判断する有用な材料になると期待できます。
原論文情報
- Beom Hyun Kim, Tomonori Shirakawa, and Seiji Yunoki, "From a quasimolecular band insulator to a relativistic Mott insulator in t2g5 systems with a honeycomb lattice structure", Physical Review Letters, doi: 10.1103/PhysRevLett.117.187201
 
発表者
 理化学研究所 
 研究推進グループ 理論科学連携研究推進グループ (iTHES) 階層縦断型物性物理学研究チーム 
 協力研究員 Beom Hyun Kim (ビョン・ヒュン キム) 
 
 創発物性科学研究センター 強相関物理部門 計算量子物性研究チーム 
 研究員 白川 知功 (しらかわ とものり) 
 
 准主任研究員研究室 柚木計算物性物理研究室 
 准主任研究員 柚木 清司 (ゆのき せいじ) 
 
報道担当
理化学研究所 広報室 報道担当Tel: 048-467-9272 / Fax: 048-462-4715
補足説明
- 1.モット絶縁体、バンド絶縁体
モット絶縁体とは、電子密度が1原子当たり半整数となるときに、電子間クーロン斥力が大きいために電子が動けなくなって全体として絶縁化を起こす絶縁体。バンド絶縁体とは、相互作用に関係なく、物質内の結合から決定される電子が取りうるエネルギー(エネルギーバンド)のみによって決まる絶縁体。バンド絶縁体では、パウリ原理に従ってエネルギーバンドの低い方から電子を詰めていった際、物質が持つ電子数のところでちょうどエネルギーにギャップが開いている。その結果、自由に動ける電子がないため、絶縁化している。 - 2.相対論的スピン軌道相互作用
原子の最外殻電子が感じるスピン自由度と軌道自由度の結合を示す相互作用。原子番号が大きいほどこの相互作用も大きくなる。 - 3.多体効果、量子多体問題
多体効果とは、電子間クーロン斥力などによって電子同士が互いの影響を及ぼしあうことによって生じる集団的効果。量子多体問題とは、物質中の電子のように相互作用し合う量子力学的粒子が多数集まった系を取り扱う問題。 - 4.クラスター計算
量子多体問題のサイズを厳密な数値的計算手法が適用できるサイズのクラスターに制限して行う計算。 - 5.光学伝導度
各振動数の電場に対して物質が示す応答関数(電場と電流の比例係数)。 - 6.共鳴非弾性X線散乱
物質にX線を照射すると、内殻電子が外殻状態に共鳴励起し、入射したX線よりも小さなエネルギーのX線を発光する。この現象を利用した実験。 - 7.キタエフスピン液体
ハニカム格子上の特殊な磁気相互作用が実現したときに期待される量子スピン液体状態。量子コンピュータなどへの利用が考えられ、実現が望まれている。 - 8.tg2軌道
正八面体の頂点に酸素などの配位子、正八面体の中心に遷移金属が位置するとき、配位子から受けるクーロン斥力を避けるように広がる遷移金属最外殻の三つのd軌道。t2gは軌道の対称性を表す点群の既約表現に由来する。 - 9.トポロジカル絶縁体
物質の内部は絶縁体でありながら、表面に特徴的な金属状態が現れる物質。電子のバンド構造がトポロジカル量を用いて特徴付けられる。 - 10.磁気秩序
磁性の中でも、特に強磁性や反強磁性など、自発的に発生した磁性を持つとき、系に磁気秩序が生じたという。磁気秩序の発生は相転移として理解でき、磁気秩序の発生により系の対称性は下がる。 - 11.厳密対角化法
少数クラスターで記述される量子多体系のシュレーディンガー方程式をLanczos法などの疎行列対角化の方法を適用して厳密に解く方法。 - 12.励起子
半導体または絶縁体中で、正孔(プラス)と電子(マイナス)の対がクーロン力によって束縛状態となったもの。 
 
 図1 ハニカム格子の遷移金属化合物における分子軌道性バンド絶縁体と相対論的モット絶縁体
左:分子軌道性バンド絶縁体 。最外殻電子がt2g軌道となる物質では、“配位子(OやCl)のp軌道を介した結合”が支配的になる。この結合が大きい場合、ハニカム格子上では六角形の局在した分子軌道が形成され絶縁体となる。
右:相対論的モット絶縁体。スピン軌道相互作用が大きい場合、軌道とスピンが混ざった“j軌道”が遷移金属イオン上の固有状態となり、この局所的な軌道上を動く電子がお互いのクーロン斥力によって動けなくなった場合に絶縁体となる。
 
 図2 クラスター計算によって得られた相図とスペクトル
(a):クラスター計算より得られた相図。Ueff、λ、t はそれぞれ有効的な電子間クーロン斥力、スピン軌道相互作用、および、t2g軌道間の結合の大きさを表す。黄色い領域は分子軌道性バンド絶縁体相、青い領域は相対論的モット絶縁体相を示す。Ru、Ir で記した場所がα-RuCl3とNa2IrO3に相当するパラメータ領域。分子軌道性バンド絶縁体から相対論的モット絶縁体への移り変わりは、スピン軌道相互作用の大きさのみならず、電子間クーロン斥力が大きくなることによっても誘発されることが分かった。
(b) (c):計算で得られたL3-共鳴非弾性X線散乱スペクトル(左)と光学伝導度スペクトル(右)。線に沿って記した値はUeffの大きさ。(b)の▼で示したピークは、相対論的モット絶縁体相にみられる励起子的な励起。
