理化学研究所(理研)数理創造プログラムの小澤知己上級研究員、ハンブルグ大学のクラウス・センシュトック教授とクリストフ・ヴァイテンベルグ シニア・サイエンティスト、ブリュッセル自由大学のネイサン・ゴールドマン教授らの国際共同研究グループは、トポロジカル物質[1]における量子化されたエネルギー吸収率の観測に成功しました。
本研究成果は、エネルギー吸収率の測定が物質のトポロジカルな性質を調べる普遍的手法として使えることを示しています。
今回、研究チームは、レーザーで作った格子の中に極低温まで冷却されたカリウム原子の集団を閉じ込めたときに、この現象を観測しました。実験では、格子を時計回りに揺らした場合と反時計回りに揺らした場合のエネルギー吸収率の差に注目し、それが格子のトポロジカル不変量[1]であるチャーン数という整数と直接関係していることを示しました。
本研究は、国際科学雑誌『Nature Physics』の掲載に先立ち、オンライン版(2月18日付け)に掲載されました。
 
 図 トポロジカル物質中での量子化されたエネルギー吸収のイメージ図
背景
二次元電子系[2]で発見された整数量子ホール効果[3]を発端に、トポロジカル物質の研究は近年大きな広がりを見せています。ここ10年ほどは、電子系以外のさまざまな物質、特に原子分子光物理学[4]で作られる系におけるトポロジカルな性質の研究が活発に行われています。原子分子光物理学の系では、試料の作製方法や測定量・観測手法が電子系とは異なるため、従来とは異なる視点から物質のトポロジカルな性質を研究することができます。
今回、研究チームは冷却原子系[5]において、新たなトポロジカルな現象の観測を試みました。
研究手法と成果
物質を周期的に揺らすと、物質はエネルギーを吸収して熱くなります。2017年以降の理論的研究により、物質を時計回りに揺らした場合と反時計回りに揺らした場合では、エネルギー吸収に差があり、その吸収率の差が物質のトポロジカル不変量と関係していることが知られていました注1)。そして2018年に、小澤上級研究員らは、物質を一方向に揺らした場合のエネルギー吸収率が、物質のより詳細な幾何学的構造である量子計量テンソル[6]と呼ばれる量と関係していることを理論的に突き止めていました注2)。
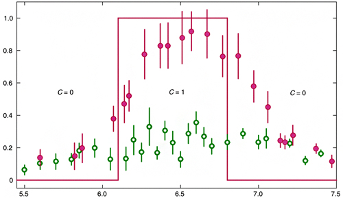
研究チームは、極低温に冷却したカリウム原子の集団を用いて、これらの現象を観測することに成功しました。今回、ハンブルグ大学で行われた実験では、レーザーを用いて原子集団を真空中に冷却・捕捉し、レーザーによって作られた格子の中に閉じ込めた状態で観測を行いました。格子を時計回りに揺らした場合と反時計回りに揺らした場合の原子のエネルギー吸収を、さまざまな振動数で繰り返し測定することで、実際に吸収率の差がトポロジカル不変量である整数(チャーン数)に、誤差の範囲内で一致することを示しました(図1)。
また、一方向に揺らした場合は、吸収率の和がトポロジカル転移[7]の前後で増大することを観測しました。これは、量子計量テンソルがトポロジカル転移の前後で発散することと整合しています。量子計量テンソルが何らかの形で実験的に観測されるのは、本実験が初めてです。
- 注1) D. T. Tran, A. Dauphin, A. G. Grushin, P. Zoller, and N. Goldman, “Probing topology by ‘heating’: quantized circular dichroism in ultracold atoms,” Sci. Adv. 3, e1701207 (2017).
 - 注2) T. Ozawa and N. Goldman, “Extracting the quantum metric tensor through periodic driving,” Phys. Rev. B 97, 201117(R) (2018).
 
今後の期待
今回の実験により、物質を揺らした際のエネルギー吸収率の測定がトポロジカル物質の特徴づけに有用な手法であることが明らかになりました。今後、本研究手法を発展させることで、さまざまな物質において今までには直接観測することが難しかった物質の性質を観測できるようになると期待されます。
原論文情報
- L. Asteria, D. T. Tran, T. Ozawa, M. Tarnowski, B. S. Rem, N. Fläschner, K. Sengstock, N. Goldman and C. Weitenberg, "Measuring quantized circular dichroism in ultracold topological matter", Nature Physics, 10.1038/s41567-019-0417-8
 
発表者
 理化学研究所 
 数理創造プログラム 
 上級研究員 小澤 知己(おざわ ともき) 
 
ハンブルグ大学
 教授 クラウス・センシュトック (Klaus Sengstock)
 シニア・サイエンティスト クリストフ・ヴァイテンベルグ (Christof Weitenberg)
ブリュッセル自由大学
 教授 ネイサン・ゴールドマン (Nathan Goldman)
  小澤 知己
 報道担当
理化学研究所 広報室 報道担当 
 Tel: 048-467-9272 / Fax: 048-462-4715 
 
お問い合わせフォーム 
産業利用に関するお問い合わせ
補足説明
- 1.トポロジカル物質、トポロジカル不変量
トポロジカル物質は、量子ホール効果を示す物質のように、トポロジカル不変量がゼロではない物質。トポロジカル不変量は、物質の状態を表す波動関数の運動量空間での形を特徴づける量で、常に整数の値を取る。 - 2.二次元電子系
半導体などの中で、電子の動きが二次元平面内に限定されるような状況。 - 3.整数量子ホール効果
磁場の中の二次元電子系において、ホール伝導度がある普遍定数の整数倍になるという効果。1980年に実験的に発見された。ここに現れる整数が、物質のトポロジカル不変量であるチャーン数と一致する。 - 4.原子分子光物理学
原子・分子と光の相互作用によって生まれる現象を調べる物理の一分野。英語でAMO physics (atomic, molecular, and optical physics)と呼ばれる。 - 5.冷却原子
レーザーを用いて、真空中に多数の原子を冷却・捕捉したもので、制御された環境下で多体物理を調べるのに適している。典型的には、数百万個程度の原子を数百ナノケルビン(ナノは10億分の1)程度まで冷却して実験を行う。 - 6.量子計量テンソル
物質全体を特徴づける整数であるトポロジカル不変量に対して、物質の運動量空間での曲がり方をより細かく表すのが、物質の幾何学的性質である。その一種が、量子計量テンソルである。 - 7.トポロジカル転移
物質を特徴づけるあるパラメータを変化させたとき、トポロジカル不変量が変化することがある。これがトポロジカル転移である。このような変化はスムーズに起きることはできず、途中で何らかの不連続性が発生する。 
 
 図1 量子化されたエネルギー吸収率の差の測定
縦軸はトポロジカル不変量。横軸は系を特徴づけるパラメータで、この値を変えることでトポロジカル不変量が0の状況と1の状況を作り出すことができる(赤線)。赤丸は、時計回りと反時計回りに円形に格子を揺らした場合のエネルギー吸収率の差から、実験的にトポロジカル不変量を見積もったもので、トポロジカル不変量が1の領域で1に近い値を示している。緑丸は、ある方向とそれと直交する方向に線形に格子を揺らした場合のエネルギー吸収率の差で、これはトポロジカル不変量とは直接関係しておらず、量子化を示さない。
