2021年2月16日
								理化学研究所
産業技術総合研究所
科学技術振興機構
単一伝搬電子による初めての軌道量子ビット
-音波で駆動される単一電子の軌道の量子状態を制御-
理化学研究所(理研)創発物性科学研究センター量子電子デバイス研究チームの伊藤諒特別研究員、山本倫久チームリーダー、量子機能システム研究グループの樽茶清悟グループディレクター、産業技術総合研究所物理計測標準研究部門高田真太郎研究員らの国際共同研究グループは、音波によって輸送される単一電子の量子力学的な運動を制御し、電子の軌道状態[1]で定義される量子ビット[2]の電気的操作を初めて実現しました。
本研究成果は、伝搬する電子を用いた量子コンピュータ[3]の実現に向けた第一歩です。
「飛行量子ビット[4]」と呼ばれる光子や電子が伝搬する量子ビットを用いて量子コンピュータを構成すると、固体を用いた他の量子コンピュータシステムに比べて、システムの構築に必要なハードウエアが劇的に小さくなります。しかし、量子コンピュータシステムの構築に適する、電子を用いた固体の飛行量子ビットの電気的操作は実現していませんでした。
今回、国際共同研究グループは、ガリウムヒ素(GaAs)半導体基板の中に二つの経路(電子の通り道)を用意し、電子が量子力学的なトンネル効果[5]によって経路間を行き来できるようにしました。そして、音波の一種である表面弾性波[6]に単一電子を閉じ込めて安定に輸送し、輸送された単一電子が二つの経路のどちらに存在するかで定義される飛行量子ビットに対する電気的な量子演算素子である「ビームスプリッター[7]」を実現しました。
本研究は、科学雑誌『Physical Review Letters』の掲載に先立ち、オンライン版(2月16日付)に掲載されます。
表面弾性波による電子輸送の概念図と試料の電子顕微鏡写真
背景
近年、量子コンピュータが従来のコンピューターでは困難なタスクを実行できる可能性が示されたことから、多くの物理系において量子コンピュータを構築する試みがなされています。例えば、固体の量子情報分野では、人工原子[8]中の電子スピン[9]や超伝導回路などで定義される、局在した多数の量子ビットを制御する研究が世界的な注目を集めており、集積化技術の開発が急速に進展しています。
一方、光学の分野では、伝播する光の量子状態で定義される「飛行量子ビット」を制御する研究が精力的に行われています。光をループ回路中で伝搬させるなどの方法により、少数の量子演算回路のみで多数の量子ビットを任意に操作できることから、光の飛行量子ビットは大規模な量子計算に適していると考えられています。飛行量子ビットの研究は、これまで主に光学の分野で進められてきました。一方固体中を伝搬する電子についても、飛行量子ビットを定義することで、少数の演算回路で多数の量子ビットを任意に操作できると考えられています。
固体中を伝搬する電子をそのような飛行量子ビットとして機能させるための重要な条件の一つは、それぞれの電子に対して選択的に量子ビット演算ができることです。言い換えると、空間的に互いに分離した状態で伝搬する「単一電子」の量子状態を制御する必要があります。しかし、伝搬する単一電子の量子状態の電気的な制御は、まだ実現していませんでした。
光学実験においては、光の粒子である光子の伝搬経路を量子力学的に分岐させる「ビームスプリッター」によって飛行量子ビットに対する量子演算を行うことが可能です。同様に、伝搬する単一電子の場合もビームスプリッターを実現することが最初のステップとなります。
研究手法と成果
近年、ガリウムヒ素(GaAs)半導体を用いて、単一電子を音波の一種である表面弾性波の流れに乗せて、周囲から孤立させて運ぶ技術が開発されました。この技術を用いると、電子を一定の時間・空間間隔で輸送できます。今回、研究グループは表面弾性波によって輸送される単一電子の量子力学的なビームスプリッターの実現を目指しました。ビームスプリッターとしては、二つの平行に並んだ電子伝導経路を量子力学的なトンネル効果によって接合した構造を採用しました(図1)。この構造は半導体の微細加工技術を用いて形成され、二つの経路間のトンネル効果の強さを電気的に調整できます。
図1 表面弾性波による電子輸送の概念図と試料の電子顕微鏡写真
表面弾性波は、図左のような櫛形の電極構造に交流電圧をかけることによって、表面近傍の結晶の歪みの波として発生する。電子は、結晶の歪みによってもたらされる動く電場に捕らえられて1個単位で伝搬する。右の写真で、白い輪郭で縁取られて見える部分は電極を示している。この試料は、電極構造の周辺に電子が入ることができないように調整されており、電極の間に電子が伝搬する経路が上下に二つ形成されている。両矢印で示すように、電子はトンネル効果によって中央の細い電極部分を挟んで反対側の経路に移動できる。このようなトンネル効果の強さは、電極に加える電圧によって制御できる。青丸は伝搬する単一電子を模式的に示している。1μmは100万分の1メートル。
このトンネル効果の強さを調整することで、表面弾性波によって輸送される単一電子が量子力学の原理に従って経路間を行き来する様子を捉えることに成功しました。この量子力学的な電子の振る舞いは、経路を構成する電極に加える電圧を変化させた際の電流の振動として計測されました。計測された電流の振動を量子力学的な電子の運動モデルに基づく計算結果と比較し、量子的な電子のビームスプリッターが実現していることを確認しました(図2)。同時にこの結果は、輸送される単一電子が二つの経路のどちらに存在するかで定義される飛行量子ビットを電気的に制御できることを意味しています。
実験では、トンネル効果による電子の運動が、電子の各経路内部の軌道状態にも強く影響を受けている様子も観測されました。また、電流の温度依存性から、輸送される電子が周囲からの雑音によって量子力学的な情報を失うデコヒーレンスの影響をほとんど受けていないことが確認されました。
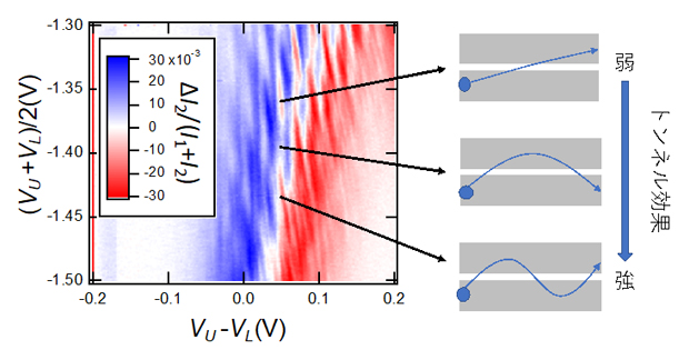
図2 トンネル電流の電流値測定
左は、図1の電極電圧VU、VLを変化させたときに観測される、下の経路の出口における電流の振動ΔI2のグラフ。グラフの縦軸である(VU + VL)/2が変化する方向に電圧VU、VLを変化させると、伝導経路の接合部での電子のトンネル効果の強さが変化する。右の模式図は、各電極電圧条件における電子の伝導軌道を模式的に示している。トンネル効果を強くしていくと、電子の伝導軌道が量子力学の原理に従って変化するため、電流が単調に減少せずに振動する。この振る舞いは、量子力学的なビームスプリッターの特徴である。グラフの横軸VU - VL方向の電流振動は、電子の軌道状態の違いを生成原因としている。
今後の期待
本研究では、表面弾性波で輸送される単一電子に対する量子的なビームスプリッター操作を実現しました。これは、量子コンピュータの構成が可能な軌道の飛行量子ビットに対する重要な量子演算を実現したことに相当します。
電子系で定義される飛行量子ビットを用いて量子コンピュータを構築するための研究は、これまでほとんど進展していませんでした。本研究成果は、電子の飛行量子ビットを用いた量子コンピュータの実現に向けた重要なステップであると考えられます。電子系では、単一電子源や単一電子検出の技術がほぼ確立しており、伝搬する電子間の相互作用を演算に利用できるなどの長所があります。量子コンピュータの構築に耐え得る高い精度での量子演算の実現が今後の課題となります。
補足説明
- 1.軌道状態
量子力学において粒子がとる波としての形状。波の振幅は、確率的な空間分布に対応している。 - 2.量子ビット、量子ビット演算
量子コンピュータを構成する情報要素。通常のコンピューターにおいて最小の情報「ビット」は0か1かで表されるが、「量子ビット」においては0と1の状態の両方を任意の割合で合わせることが許される。量子ビット演算は量子ビットの状態を操作すること。例えば、0と1の割合を入れ替える操作など。 - 3.量子コンピュータ
量子ビットを用いて計算を行う機械のこと。量子計算機とも呼ばれる。因数分解などの計算を、従来のコンピューターよりも圧倒的な速さで実行できる。 - 4.飛行量子ビット
運動する粒子に対して定義された量子ビット。 - 5.トンネル効果
レールの上でボールを転がしたとき、ボールの持っているエネルギーを超える山をボールは乗り越えることができない。これは通常の力学における基本原理であるが、微小な粒子の運動を記述する量子力学の世界においては正しくない。粒子は山を乗り越えるのではなく、通り抜けて先に進むことができる。この現象はトンネル効果と呼ばれる。 - 6.表面弾性波
物質表面を伝わる音波の波。音は空気中では空気分子の振動の波として伝わるが、物質中では物質を構成する結晶格子の振動の波として伝わる。 - 7.ビームスプリッター
伝導する粒子を二つの経路に分割する素子のこと。粒子はビームスプリッターを通過することで、二つの経路の両方に一定の割合で存在する重ね合わせ状態になる。1粒子に対する量子ビット演算の一種である。 - 8.人工原子
電子を微小空間に閉じ込め、天然の原子と同様に離散的なエネルギーを持つようにしたもの。 - 9.電子スピン
電子の持つ量子力学的自由度の一つ。電子の自転を特徴づける。右回りの電子スピンと左回りの電子スピンがある。 
国際共同研究グループ
理化学研究所 創発物性科学研究センター
量子電子デバイス研究チーム
特別研究員 伊藤 諒(いとう りょう)
チームリーダー 山本 倫久(やまもと みちひさ)
量子機能システム研究グループ
グループディレクター 樽茶 清悟(たるちゃ せいご)
産業技術総合研究所 物理計測標準研究部門
研究員 高田 真太郎(たかだ しんたろう)
ルール大学ボーフム校 実験物理学科
研究員 アルネ・ルドウィグ(Arne Ludwig)
教授 アンドレアス・ヴィーク(Andreas D.Wieck)
研究支援
本研究は、科学技術振興機構(JST)戦略的創造研究推進事業CREST「量子状態の高度な制御に基づく革新的量子技術基盤の創出(研究総括:荒川泰彦)」の研究課題「半導体非局在量子ビットの量子制御(研究代表者:山本倫久)」、日本学術振興会(JSPS)科学研究費助成事業新学術領域研究(研究領域提案型)「ハイブリッド量子科学」の「固体の電子波の量子もつれ制御(研究代表者:山本倫久)」、同基盤研究 S「量子対の空間制御による新規固体電子物性の研究(研究代表者:樽茶清悟)」、同基盤研究 B「単一飛行電子を用いた量子電子光学実験の基盤技術の開発(研究代表者:高田真太郎)」による支援を受けて行われました。
原論文情報
- R. Ito, S. Takada , A. Ludwig, A. D. Wieck, S. Tarucha, M. Yamamoto, "Coherent beam splitting of flying electrons driven by a surface acoustic wave", Physical Review Letters
 
発表者
理化学研究所
 創発物性科学研究センター 量子電子デバイス研究チーム
特別研究員 伊藤 諒(いとう りょう)
チームリーダー 山本 倫久(やまもと みちひさ)
量子機能システム研究グループ
グループディレクター 樽茶 清悟(たるちゃ せいご)
産業技術総合研究所 物理計測標準研究部門
研究員 高田 真太郎(たかだ しんたろう)
伊藤 諒
 
樽茶 清悟
 
山本 倫久
 報道担当
理化学研究所 広報室 報道担当
お問い合わせフォーム
国立研究開発法人 産業技術総合研究所 広報部 報道室
Tel: 029-862-6216 / Fax: 029-862-6212
Email: hodo-ml[at]aist.go.jp
科学技術振興機構 広報課
Tel: 03-5214-8404 / Fax: 03-5214-8432
Email: jstkoho[at]jst.go.jp
産業利用に関するお問い合わせ
JST事業に関すること
科学技術振興機構 戦略研究推進部 グリーンイノベーショングループ
嶋林 ゆう子(しまばやし ゆうこ)
Tel: 03-3512-3531 / Fax: 03-3222-2066
Email: crest[at]jst.go.jp
※上記の[at]は@に置き換えてください。
