理化学研究所(理研)開拓研究本部侯有機金属化学研究室の侯召民主任研究員(環境資源科学研究センター副センター長)、卓庆德特別研究員、莫贞波訪問研究員(研究当時)、周小茜訪問研究員、島隆則専任研究員(環境資源科学研究センター先進機能触媒研究グループ専任研究員)らの国際共同研究チームは、多金属のチタンヒドリド化合物[1]を用いて、非常に安定な窒素分子(N2)と二酸化炭素(CO2)から、温和な反応条件で有機物のイソシアネート[2]を合成することに成功しました。
本研究成果は、さまざまな安定化合物における不活性結合の切断、新たな結合の形成を鍵とする新しい物質変換反応への展開が期待できます。
窒素分子(N≡N)と二酸化炭素(O=C=O)は比較的入手容易な安価なガスですが、両者とも非常に安定であり、これらのN≡N結合やC=O結合を切断し、有用物質に変換することは困難です。
今回、国際共同研究チームは、独自に開発したチタンヒドリド化合物を用いることで、温和な条件で窒素分子と二酸化炭素のN≡N結合およびC=O結合を切断するだけでなく、新たにN=C結合を形成させ、イソシアネート(-N=C=O)の合成に成功しました。また、X線結晶構造解析[3]や分光学的手法、計算科学により、分子レベルで反応プロセスを明らかにしました。
本研究は、科学雑誌『Journal of the American Chemical Society』オンライン版(4月5日付)に掲載されました。
チタンヒドリド化合物による窒素分子と二酸化炭素からの有機物の合成
背景
空気中の8割を占める豊富な資源である窒素分子(N2、N≡N)は、二つの窒素原子が三重結合という強固な結合で結ばれているため非常に安定です。このため、N≡N結合を切断して、新たに窒素-炭素(N-C)結合などを持つ「含窒素有機物」に直接変換することは非常に困難です。一般的には、窒素分子と水素分子を原料とするハーバー・ボッシュ法[4]により得られたアンモニア(NH3)から、含窒素有機物が合成されています。しかし、ハーバー・ボッシュ法は多くのエネルギーを必要とします。
一方、二酸化炭素(CO2、O=C=O)は、気候変動を及ぼす温室効果ガスであることから、二酸化炭素削減の一環として、二酸化炭素を原料とする合成研究が進められています。しかし、二酸化炭素も非常に安定なため、C=O結合切断を伴った変換反応は厳しい反応条件を必要とするなど困難です。
従って、これら窒素分子と二酸化炭素を直接利用して、窒素-炭素結合を形成し、有用な含窒素有機物を温和な条件で合成することは、環境資源の有効利用、また省資源・省エネの観点からも重要です。比較的温和な条件で窒素分子や二酸化炭素を切断し、新たな窒素-炭素結合を形成できる新しい触媒を開発するためには、分子レベルで反応を詳しく調べる必要があります。これまで、構造が明確なさまざまな分子性の金属化合物が開発され、これを用いて窒素分子と二酸化炭素の反応が試みられてきました。強力な還元剤のもと、窒素分子のN≡N結合を部分的に還元し、二酸化炭素を導入した例は報告されていますが、窒素分子のN≡N結合および二酸化炭素のC=O結合を完全に切断し、かつ新たに窒素-炭素結合を形成した例は報告されていません。
侯主任研究員らは、これまでに多金属ヒドリド化合物を用いた窒素分子などの不活性小分子の活性化と変換反応に取り組んできました。最近、チタンヒドリド化合物1を用いた窒素分子の活性化と分子変換反応に取り組む中で、剛直なPNP-ピンサー型配位子を持つ二つのチタンにより、窒素分子が還元された二窒素化合物2がさまざまな試薬との反応性を示すことを明らかにしました(図1)注)。今回、この二窒素化合物と二酸化炭素の反応を検討し、新たな窒素-炭素結合形成反応の研究に挑みました。
図1 チタンヒドリド化合物1を用いた窒素分子から二窒素化合物2への還元反応
剛直なPNP-ピンサー型配位子を持つチタンヒドリド化合物1は窒素分子(N2)を還元して、二窒素化合物2を与える。
- 注)Mo, Z.; Shima, T.; Hou, Z."Synthesis and diverse transformations of a dinitrogen dititanium hydride complex bearing rigid acridane-based PNP-pincer ligands." Angew. Chem., Int. Ed. 2020, 59, 8635-8644.
 
研究手法と成果
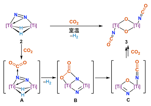
国際共同研究チームは、以前開発した高活性なチタンヒドリド化合物1(図1)と窒素分子との反応で得られる二窒素化合物2に対し、二酸化炭素との反応を調べました。二窒素化合物2に二酸化炭素を作用させると、脱水素を伴い、ジイソシアネート化合物3が得られました(図2)。さらに、ジイソシアネート化合物3からのイソシアネートユニットの脱離を目的に、シリル化を行いました。塩化トリメチルシリル(Me3SiCl)を加えたところ、トリメチルシリルイソシアネート(Me3SiNCO)とともにチタン塩化物が得られました(図2)。このチタン塩化物はチタンヒドリド化合物1の原料として用いることが可能であり、チタンユニットのリサイクルが可能であることも明らかになりました。
図2 二窒素化合物2による二酸化炭素の活性化
窒素分子がチタンヒドリド化合物1(図1)により還元された二窒素化合物2は、二酸化炭素との反応によりジイソシアネート化合物3を与える。さらに塩化トリメチルシリル(Me3SiCl)を作用させることで、遊離の有機物としてトリメチルシリルイソシアネートとチタン塩化物が得られる。
この二窒素化合物2と二酸化炭素の反応経路を、X線結晶構造解析や分光学的手法および計算科学によって詳しく調べました(図3)。まず、二窒素化合物2中の還元された二窒素種の窒素原子が求核的に二酸化炭素の炭素と結合し、窒素-炭素結合が形成されました(図3中のA)。続いて、二つのヒドリド配位子が脱水素するとともに、中心金属の酸化によって窒素-窒素結合が切断されました(B)。さらに、チタンと二酸化炭素の酸素が結合することで、二酸化炭素の炭素-酸素結合が開裂し、モノイソシアネート/ニトリド/オキソ種が生成しました(C)。さらにもう1分子の二酸化炭素がニトリド種のチタン-窒素結合に挿入することで、窒素-炭素結合形成、炭素-酸素結合切断を経てジイソシアネート化合物3へと導かれることが分かりました。
図3 二窒素化合物2と二酸化炭素の詳しい反応経路
二窒素化合物2は、二酸化炭素の配位による窒素-炭素(N-C)結合の形成(図中のA)、窒素-窒素(N-N)結合の切断(B)、炭素-酸素(C-O)結合の切断(C)を経て、ジイソシアネート化合物3へと導かれる。
今後の期待
今回、多金属チタンヒドリド化合物を用いることで、窒素分子と二酸化炭素の「窒素-炭素結合」を形成し、さらに「窒素-窒素結合」、および「炭素-酸素結合」を温和な条件で切断し、イソシアネートの合成に成功しました。また、その反応プロセスを分子レベルで解明することに成功しました。従来のヒドリド化合物とは異なる反応性を示すなど、これまで例のない新しい反応を見いだしました。
今後、このような多金属ヒドリド化合物を用いて、窒素分子と二酸化炭素などのさまざまな安定化合物の活性化を組み合わせて、それらに含まれる不活性結合の切断・形成を鍵とする新しい物質変換反応への展開が期待できます。
補足説明
- 1.チタンヒドリド化合物
元素番号22のチタン(Ti)が集まり、金属-金属結合やヒドリド原子(H-)を介して結合した化合物。チタンは安価で入手が容易であり、豊富に存在する汎用金属のうちの一つ。光触媒などに応用されている。今回用いたものは、Tiが二つ、H-が四つからなるチタンヒドリド化合物。 - 2.イソシアネート
-N=C=Oという部分構造を持つ化合物。ポリウレタン、尿素誘導体などの合成に利用できる工業的に重要な化合物。工業的には、一級アミン(R-NH2)と毒性の高いホスゲン(COCl2)の反応により合成される。 - 3.X線結晶構造解析
構造未知の試料の単結晶を作製し、その結晶にX線を照射して得られる回折データを解析することにより、試料の構造を調べる方法。 - 4.ハーバー・ボッシュ法
ドイツのフリッツ・ハーバーが実験室で成功した研究を、化学品製造会社BASF社のカール・ボッシュが1913年に工業化したアンモニア合成法。鉄(Fe)を含む触媒を用いて、窒素分子と水素分子を高温・高圧で反応させることでアンモニアを合成する方法。350~550℃、150~350気圧という条件が必要になるため、膨大なエネルギーを消費する。 
国際共同研究チーム
理化学研究所 開拓研究本部 侯有機金属化学研究室
主任研究員 侯 召民(コウ・ショウミン)
(環境資源科学研究センター 副センター長、先進機能触媒研究グループ グループディレクター)
特別研究員 卓 庆德(ジュオ・キンデ)
訪問研究員(研究当時) 莫 贞波(モウ・ゼンボ)
訪問研究員 周 小茜(ツォウ・シャオシ)
専任研究員 島 隆則(しま たかのり)
(環境資源科学研究センター 先進機能触媒研究グループ 専任研究員)
大連理工大
教授 羅 一(ルオ・イ)
学生 ヤン・ジミン(Yang Jimin)
研究支援
本研究は、日本学術振興会(JSPS)科学研究費補助金新学術領域研究「ハイドロジェノミクス」(領域代表者:折茂慎一)A04班「高活性水素の精密制御による新規反応プロセスの創出(研究代表者:山内美穂)」、同基盤研究(A)「希土類触媒の特長を生かした新規物質創製反応の開発(研究代表者:侯召民)」、および同基盤研究(C)「クロムヒドリド錯体による窒素分子活性化とアンモニア合成反応の開発(研究代表者:島隆則)」の支援を受けて行われました。
原論文情報
- Qingde Zhuo, Jimin Yang, Zhenbo Mo, Xiaoxi Zhou, Takanori Shima, Yi Luo, Zhaomin Hou, "Dinitrogen Cleavage and Functionalization with Carbon Dioxide in a Dititanium Dihydride Framework", Journal of the American Chemical Society, 10.1021/jacs.2c01851
 
発表者
理化学研究所
 開拓研究本部 侯有機金属化学研究室
主任研究員 侯 召民(コウ・ショウミン)
(環境資源科学研究センター副センター長)
特別研究員 卓 庆德(ジュオ・キンデ)
訪問研究員(研究当時) 莫 贞波(モウ・ゼンボ)
訪問研究員 周 小茜(ツォウ・シャオシ)
専任研究員 島 隆則(しま たかのり)
(環境資源科学研究センター 先進機能触媒研究グループ 専任研究員)
侯 召民
 報道担当
理化学研究所 広報室 報道担当
お問い合わせフォーム
