2023年3月21日
理化学研究所
東北大学
高輝度光科学研究センター
科学技術振興機構
XFELと電子顕微鏡による低分子有機化合物の結晶構造解析
-2線源の特性を生かし、水素原子と電荷に関する情報を取得-
理化学研究所(理研)放射光科学研究センター 利用技術開拓研究部門 生体機構研究グループの高場 圭章 基礎科学特別研究員、利用システム開発研究部門 SACLAビームライン基盤グループ イメージング開発チームの眞木 さおり 研究員、生体機構研究グループの米倉 功治 グループディレクター(理研 科技ハブ産連本部 バトンゾーン研究推進プログラム 理研-JEOL連携センター 次世代電子顕微鏡開発連携ユニット ユニットリーダー、東北大学 多元物質科学研究所 教授)、SACLAビームライン基盤グループ ビームライン開発チームの井上 伊知郎 研究員、高輝度光科学研究センター XFEL利用研究推進室の登野 健介 チームリーダー、理研 同センター 物理・化学系ビームライン基盤グループの矢橋 牧名 グループディレクター、同センターの石川 哲也 センター長らの共同研究グループは、X線自由電子レーザー(XFEL)[1]を用いて、低分子有機化合物の微小結晶から水素原子を含む詳しい構造解析が可能なことを明らかにし、XFELと電子顕微鏡の相補利用の有用性を示しました。
本研究成果は、有機化合物の立体構造、化学的性質、機能のより詳しい理解を進め、創薬や材料開発に役立つと期待できます。
有機合成化学、薬学、材料科学などの分野では大きな結晶が得られない化合物が多いため、小さな結晶の構造解析が重要です。電子線はX線に比べて試料に数万倍も強く散乱されるため、微小結晶の構造解析に利用されています。
今回、共同研究グループはXFEL施設「SACLA」[2]を用いた高効率な解析技術を開発し、ローダミン6Gという有機蛍光分子の詳細な構造を決定することに成功しました。この構造と電子顕微鏡を用いて得られた構造を比較したところ、化学結合の種類によって変わる水素原子の結合距離を判別し、X線と電子線の両線源で異なる散乱体を識別する精度を持つことが分かりました。また、原子座標[3]の信頼性はXFELの方が高く、一方で電子線は電荷に対して高い感度を持つことも明らかになりました。これにより、分子機能と直結する構造特性を観察できることが示されました。
本研究は、科学雑誌『Nature Chemistry』オンライン版(3月20日付:日本時間3月21日)に掲載されました。
XFEL(黄色線)と電子線(緑線)による微小結晶(輝点)構造解析のイメージ
背景
有機合成化学、薬学、材料科学の分野において、低分子有機化合物の結晶構造解析をする場合、従来のX線回折[4]に適した数百マイクロメートル(μm、1μmは100万分の1メートル)以上の大きさの結晶を形成することは困難な場合が多いことから、微小結晶構造解析が注目されています。
構造決定に必要な試料サイズを決める散乱断面積(試料に散乱される強さ)は、X線と電子線では大きく異なり、電子線はX線に比べて数万倍も大きいことが知られています。この性質を利用して、X線回折では小さすぎる、厚さ数百ナノメートル(nm、1nmは10億分の1メートル)以下の結晶の構造を、電子顕微鏡を用いた電子線3次元結晶構造解析法[5]により、原子レベルの空間分解能[6]で決定できるようになりました。
一方、XFELは高強度かつ超高速のX線パルスを発生させることができます。1パルスで試料破壊前のデータ収集が可能であり、電子線の試料の散乱断面積との大きな差を補うことができると考えられます。XFELパルスを用いた連続結晶X線構造解析(SX)[7]は、多数の微小結晶から回折パターンを記録します。SXはこれまで主にタンパク質結晶に適用されてきましたが、タンパク質よりも分子量が小さい低分子有機化合物の結晶では、カメラ1フレーム当たりの回折スポットの数が少なく、データ処理が難しいという課題がありました。
有機分子構造において、水素原子は分子内・分子間で幅広い非共有結合を形成することで、さまざまな局所的な相互作用に寄与し、分子の性質、機能に大きな影響を及ぼします。しかし、X線や電子線で得られる水素原子からの信号は弱いため、1オングストローム(Å、1Åは100億分の1メートル)よりも小さい原子を分離できる分解能での高精度な構造解析が不可欠となります。
また、X線は原子核の周りの電子によって、電子線は原子の周りのクーロンポテンシャル[8]によってそれぞれ散乱されます。そのため、両線源で得られた構造を詳しく比較し、実験的信頼性を評価する必要がありました。
本研究では、これらの課題解決のための技術開発に取り組みました。
研究手法と成果
共同研究グループはまず、X線の散乱が少ないポリイミド製の試料支持板(4mm×4mm)を新しくデザインし、その表面にローダミン6Gという有機蛍光分子(低分子有機化合物)の微小結晶を散布しました。試料支持板を高速で動かしながら、径1μm程度に集光した15keVの高エネルギーXFELパルスを、10μmの間隔で微小結晶に照射し、X線回折パターンを大量に集めました(図1)。
図1 X線自由電子レーザー(XFEL)によるX線回折データ測定の模式図
4mm×4mmの大きさの試料支持板に微小結晶を散布し、高速に移動させながら(赤矢印)、XFELパルスを1秒間に30回照射し、回折パターンを後方の検出器で記録する。
XFELと並行し、理研が所有する高精度クライオ電子顕微鏡[9]を用いて、ローダミン6Gの電子回折パターンを集め、構造を解析しました。XFELで得られた回折データの処理には、電子線で得られた結晶の繰り返し周期に関する情報を与えました。これにより、前記のカメラ1フレーム当たりの回折スポットの数が少なくデータ処理が難しいという課題を克服し、既存方法注1)に比べ約20倍高効率に処理できました。その結果、0.82Åの空間分解能でローダミン6Gの構造をXFELから決定することに成功しました。
両手法で得られた構造は、水素原子を可視化できる高い精度を持っていました。化学結合の種類によって、水素原子と結合相手の原子との距離は異なります。2つの構造を比較したところ、どちらの方法でも水素原子の結合距離を判別する精度を持つことが分かりました。一つしかない水素原子の電子は、結合している炭素原子や窒素原子の方に引き寄せられます。従って、原子核の周りの電子のみに散乱されるX線では、水素原子との結合距離が短く計測されるのに対して、電子線が散乱されるクーロンポテンシャルでは原子核の寄与も反映されるため、水素原子との結合距離はX線よりも長く計測され、水素原子核により近い位置になることが予測されていました。今回のXFELと電子顕微鏡の詳細構造はそれを実証する結果となりました(図2)。
- 注1)E. Schriber et al., Chemical crystallography by serial femtosecond X-ray diffraction. Nature 601, 360-365 (2022).
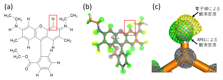
図2 XFELおよび電子線を用いて決定した結晶中のローダミン6Gの立体構造
(a) ローダミン6Gの構造式。水素原子を省略せず表記している。(b) 結晶構造と水素原子分布の重ね合わせ。緑はXFEL、黄色は電子顕微鏡での測定データからそれぞれ得られた水素原子を示す。水素原子は、XFELでは結合相手の原子により近い位置に観察される。水素以外の原子位置(灰色)は両者の構造間でほぼ等しい。(c) (a)および(b)の赤枠で囲った部分の拡大。
電子線の複雑な散乱過程を完全に説明することは難しいのに対して、X線では透過性が強く散乱過程をよりシンプルに説明できます。これを反映し、原子座標の信頼性はXFELの方が高いことが示されました。一方、電子線は電荷に対して高い感度を持つことが分かり(図3)、さらに、X線との比較から、各原子の電子の分布を可視化できる可能性も示されました。
図3 電子回折、X線回折に基づいた最適電荷値の探索
(a) ローダミン6Gの電荷を付記した構造式。正電荷をとりうる水素原子は二つあるが(H15、H16)、一般的な表記では片方の水素に正電荷が付記される。(b) 二つの水素原子の電荷をX軸、Y軸に沿って仮想的に変化させ、回折実験データを最もよく説明する電荷値の組み合わせを探索した。電子回折(左)では実験データを最もよく説明する値(グラフの色の濃い部分)が得られ、二つの水素の両方が部分的に正電荷を帯びていることが実験的に示された。一方でX線回折(右)では電荷を変えても変化が小さく、電荷は決定できない。
今後の期待
本研究により、高強度かつ高速なXFELパルスを用いて、低分子有機化合物の微小結晶から詳細な構造を決定することが可能になりました。さらに、XFELと電子顕微鏡で有機化合物の異なる特徴が明らかになりました。
今回開発した手法は、微小結晶を用いることができ、特別な試料の処理を必要としないため、実用的です。また、分子機能と相関の高い構造特性を観察できることから、今後、より機能性の高い薬剤・材料分子のデザイン・開発が期待できます。
補足説明
- 1.X線自由電子レーザー(XFEL)
近年の加速器技術の発展によって実現したX線領域のパルスレーザー。従来の半導体や気体を発振媒体とするレーザーとは異なり、真空中を高速で移動する電子ビームを媒体とするため、原理的な波長の制限はない。「SPring-8」などの従来の放射光源と比較して、10億倍もの高輝度のX線がフェムト秒(1,000兆分の1秒)の時間幅を持つパルス光として出射される。この高い輝度を生かして、ナノメートルサイズの小さな結晶を用いたタンパク質の原子レベルでの分解能の構造解析や、X線領域の非線形光学現象の解明などの用途に用いられている。XFELはX-ray Free Electron Laserの略。 - 2.XFEL施設「SACLA」
理研と高輝度光科学研究センターが共同で建設した、日本で初めてのXFEL施設。科学技術基本計画における五つの国家基幹技術の一つとして位置付けられ、2006年度から5年間の計画で建設・整備を進めた。2011年3月に施設が完成し、SPring-8 Angstrom Compact free electron LAserの頭文字を取ってSACLAと命名された。2011年6月に最初のX線レーザーを発振、2012年3月から共用運転が開始され、利用実験が始まった。大きさが諸外国の同様の施設と比べて数分の1と、コンパクトであるにもかかわらず、0.1ナノメートル以下という世界最短波長クラスのレーザーの生成能力を持つ。 - 3.原子座標
分子中の原子の空間的な配置のこと。 - 4.回折
X線や電子線が結晶性の試料に散乱され、干渉して回折を示す現象のこと。分子の並びを反映した規則的な回折点の並びなどの特徴的なパターンが観測される。 - 5.電子線3次元結晶構造解析法
微小で薄い結晶試料に電子線を照射して、その回折パターンから3次元の立体構造を決定する手法。電子線はX線に比べて数万倍も強く物質と相互作用するため、X線結晶構造解析に適さない微小で薄い単結晶試料を使用できる。電子の散乱特性からは、電荷に関する情報が得られる。Electron 3D crystallography、3D ED、マイクロEDとも呼ばれる。 - 6.空間分解能
どのくらい細かくものを「見る」ことができるかの指標。空間分解能の値が小さい(分解能が高い)ほど、物質をより精細に観測できる。原子の大きさは、1オングストローム(Å、1Åは100億分の1メートル)程度で、個々の原子の解像には、1Å程度の空間分解能が必要である。 - 7.連続結晶X線構造解析(SX)
多数の結晶にX線を連続的に照射し、回折パターンから結晶構造を解析する手法。SXはSerial X-ray Crystallographyの略。 - 8.クーロンポテンシャル
分子の電荷の分布で、電子回折から得られる。X線回折では電子密度が観測されるのに対して、電子回折からはクーロンポテンシャルが観測される。 - 9.クライオ電子顕微鏡
タンパク質などの生体分子を、水溶液中の生理的な環境に近い状態で、電子顕微鏡で観察するために開発された手法。分子量の大きなタンパク質の分子像からの単粒子解析法や、微小結晶からの電子線3次元結晶構造解析法などに応用できる。
共同研究グループ
理化学研究所 放射光科学研究センター
センター長 石川 哲也(イシカワ・テツヤ)
利用技術開拓研究部門
生体機構研究グループ
基礎科学特別研究員 高場 圭章(タカバ・キヨフミ)
グループディレクター 米倉 功治(ヨネクラ・コウジ)
(科技ハブ産連本部 バトンゾーン研究推進プログラム 理研-JEOL連携センター 次世代電子顕微鏡開発連携ユニット ユニットリーダー、東北大学 多元物質科学研究所 教授)
研究員(研究当時)浜口 祐(ハマグチ・タスク)
研究員 川上 恵典(カワカミ・ケイスケ)
先任研究員 内藤 久志(ナイトウ・ヒサシ)
利用システム開発研究部門
SACLAビームライン基盤グループ
イメージング開発チーム
研究員 眞木 さおり(マキ・サオリ)
ビームライン開発チーム
研究員 井上 伊知郎(イノウエ・イチロウ)
物理・化学系ビームライン基盤グループ
グループディレクター 矢橋 牧名(ヤバシ・マキナ)
高輝度光科学研究センター XFEL利用研究推進室
チームリーダー 登野 健介(トノ・ケンスケ)
研究支援
本研究は、日本学術振興会(JSPS)科学研究費助成事業若手研究「電子線を利用したタンパク質の分子内電荷の決定(研究代表者:高場圭章、20K15764)」、科学技術振興機構(JST)未来社会創造事業探索加速型「微小結晶構造の自動・高精度電子線解析(研究代表者:米倉功治、JPMJMI20G5)」、同戦略的創造推進事業CREST「実験・計算・データ科学融合による塗布型電子材料の開発(JPMJCR18J2)」、日本医療研究開発機構(AMED)医療研究開発革新基盤創成事業(CiCLE)などの助成を受けて行われました。
原論文情報
- Kiyofumi Takaba, Saori Maki-Yonekura, Ichiro Inoue, Kensuke Tono, Tasuku Hamaguchi, Keisuke Kawakami, Hisashi Naitow, Tetsuya Ishikawa, Makina Yabashi and Koji Yonekura, "Structural resolution of a small organic molecule by serial X-ray free-electron laser and electron crystallography", Nature Chemistry, 10.1038/s41557-023-01162-9
発表者
理化学研究所
放射光科学研究センター
センター長 石川 哲也(イシカワ・テツヤ)
利用技術開拓研究部門
生体機構研究グループ
基礎科学特別研究員 高場 圭章(タカバ・キヨフミ)
グループディレクター 米倉 功治(ヨネクラ・コウジ)
(科技ハブ産連本部 バトンゾーン研究推進プログラム 次世代電子顕微鏡開発連携ユニット ユニットリーダー、東北大学 多元物質科学研究所 教授)
利用システム開発研究部門
SACLAビームライン基盤グループ
イメージング開発チーム
研究員 眞木 さおり(マキ・サオリ)
ビームライン開発チーム
研究員 井上 伊知郎(イノウエ・イチロウ)
物理・化学系ビームライン基盤グループ
グループディレクター 矢橋 牧名(ヤバシ・マキナ)
高輝度光科学研究センター XFEL利用研究推進室
チームリーダー 登野 健介(トノ・ケンスケ)
眞木 さおり、高場 圭章、登野 健介、井上 伊知郎(撮影:米倉 功治 データ測定中にSACLAにて)
JST事業に関すること
科学技術振興機構 未来創造研究開発推進部
小泉 輝武(コイズミ・テルタケ)
報道担当
理化学研究所 広報室 報道担当
お問い合わせフォーム
東北大学 多元物質科学研究所 広報情報室
Tel: 022-217-5198
Email: press.tagen [at] grp.tohoku.ac.jp
(SPring-8/SACLAに関すること)
高輝度光科学研究センター 利用推進部 普及情報課
Tel: 0791-58-2785
Email: kouhou [at] spring8.or.jp
科学技術振興機構 広報課
Tel: 03-5214-8404 / Fax: 03-5214-8432
Email: jstkoho [at] jst.go.jp
※上記の[at]は@に置き換えてください。
