理化学研究所(理研)創発物性科学研究センター 創発機能高分子研究チームの中野 恭兵 研究員、但馬 敬介 チームリーダーらの研究チームは、有機薄膜太陽電池[1]の材料に使われる半導体高分子の性能や特性が、これらの半導体高分子を合成する製造ロットごとにばらつく原因を解明しました。
本研究成果は、有機薄膜太陽電池の社会実装に向けて、高い性能を安定して発揮する有機半導体材料の製造方法の開発に貢献することが期待されます。
今回、研究チームは、試料中に含まれる原子の種類と量を評価するX線光電子分光法(XPS)と呼ばれる手法の精度を改善することで、半導体高分子の主鎖構造(分子構造)を精密に解析することに成功しました。その結果、市販されている半導体高分子の一部には、理想的な構造から逸脱した主鎖構造を持つロットが存在することが明らかになりました。さらにこのような構造的な欠陥が太陽電池の性能に負の影響を及ぼすことを実験的に確認しました。
本研究は、科学雑誌『communications materials』オンライン版(2月26日付:日本時間2月26日)に掲載されました。
半導体高分子の主鎖構造の繰り返しと構造欠陥
背景
次世代のエネルギー源として期待される有機薄膜太陽電池は、軽量で柔軟性に優れるという特長を持ち、幅広い応用が期待されています。しかし、これらの太陽電池に使用される半導体高分子の性能が各合成のロットごとにばらつくという課題がありました。高い性能を示す太陽電池を社会に広く普及させるためには、特性にばらつきの少ない高効率な材料を安定的に供給できることが重要です。
一般的に、高分子材料の性能のばらつきの原因として、高分子の分子量分布[2]が挙げられます。しかし、多くの研究を通じて、これだけでは説明のつかない性能のばらつきが存在することが明らかになってきました。特に、高効率な太陽電池に用いられる半導体高分子は、二つの異なるユニット(例えばAとB)をクロスカップリング反応[3]によって交互につなげた構造を持っています。この場合、理想的には合成された主鎖構造は「-A-B-A-B-A-」となるはずですが、例えば「-A-B-B-A-B-」のように乱れ(構造欠陥)が生じる可能性があります。こうした構造欠陥はわずかであっても半導体特性に影響を与え、太陽電池性能のばらつきを生むことが予想されます。しかし、このような構造欠陥が高分子の中にどの程度含まれているのかを定量的に調べる手法は限られており、精密な評価は困難でした。
研究手法と成果
本研究では、X線光電子分光法(XPS)を用いて、高効率な有機薄膜太陽電池に使用される半導体高分子の主鎖構造を精密に評価する新たな手法を開発しました。その結果、性能のばらつきが主鎖構造の欠陥に起因していることを初めて実証しました。
XPSでは、試料にX線を照射し、光電効果によって放出された電子の数と運動エネルギーを解析することで、試料中に含まれる原子の種類と量を評価します。特に、評価対象の半導体高分子が2種類のユニットの交互重合体[4]であり、それぞれのユニットが特有の原子を含む場合、この原子の量を精密に定量することで、ユニット比率を評価できるというアイデアが本研究の基盤となっています。
しかし、この手法を実用化するには多くの技術的課題を克服する必要がありました。特にXPSで電子の数から原子数を算出する際に使用する相対感度係数(RSF)[5]の精度が評価の成否を左右します。半導体高分子の主鎖構造を定量的に評価するためには、この係数を可能な限り正確に求めることが不可欠でした。
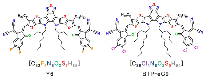
この課題を解決するため、研究チームはY6およびBTP-eC9(図1)という分子を標準試料として使用し、有機半導体材料に対する正確なRSFを算出しました。Y6およびBTP-eC9は、現在の高効率有機薄膜太陽電池に使用される分子であり、二つの分子を混ぜ合わせた試料には、炭素(C)、窒素(N)、酸素(O)、硫黄(S)、フッ素(F)、塩素(Cl)の六つの基本的な原子が正確な濃度で含まれることになります。これらの原子は多くの有機半導体材料に共通して含まれるため、この標準試料を用いて得られたRSFを活用すれば、幅広い有機半導体材料を評価することが可能になります。
図1 標準物質として用いたY6とBTP-eC9分子の構造
Y6とBTP-eC9分子は、高効率の有機薄膜太陽電池に使われている分子。これらを混合した試料は炭素(C)、窒素(N)、酸素(O)、硫黄(S)、フッ素(F)、塩素(Cl)の六つの基本的な原子を含んでいる。
次に、算出されたRSFを用いて、Y6とBTP-eC9を異なる割合で混合した薄膜をテスト試料として作製し、その混合比率をどれほど正確に評価できるかを検証しました。その結果、XPSによって1%程度の微小な混合比率の違いも十分に判別できました。この高い定量精度により、半導体高分子中の二つのユニット比率を正確に評価できる見通しが得られました。
実際にPM6と呼ばれる半導体高分子を評価対象として、そのユニット比率を詳細に解析しました(図2)。PM6を構成するBDTとBDDという二つのユニットのうち、BDTはF原子、BDDはO原子をそれぞれ含むため、これらの原子存在量を基にユニット比率を算出しました。評価には、異なる供給元から購入した3種類の市販PM6を使用したほか、確認のため研究チームが合成した試料も含めました。
両方のユニットを1:1の比率で含むのが理想的なPM6ですが、自ら合成した試料では、意図的に一方のユニットを過剰に加えて比率が1:1からずらした高分子を合成し、そのずれを正確に定量できるかを検証しました。その結果、意図的に操作したユニット比のずれを高精度で評価できました。
次に、市販のPM6試料を評価したところ、全ての試料においてBDDユニットが過剰であること、さらにその過剰量が供給元ごとに異なることが明らかになりました(図2)。この結果を踏まえ、市販のPM6を用いて実際に有機薄膜太陽電池を作製し、光電変換効率を測定しました。すると、BDDの過剰量が最も多い試料(つまり理想構造からのずれが最も大きい試料)は、変換効率が最も低い結果を示しました。一方で、ユニット比のずれが小さくなり、理想的な構造に近づくほど変換効率が向上しました。
さらに、これら市販品の分子量分布がほぼ同一であったことから、この結果は、PM6の主鎖構造そのもののばらつき、すなわち理想構造からのずれが太陽電池の特性悪化を引き起こす主要因であることを示しています。
図2 高性能な有機薄膜太陽電池に用いられる高分子半導体PM6分子の構造
PM6はBDTとBDDの二つのユニットから構成される。BDTはフッ素(F)原子を、BDDは酸素(O)原子を含むため、これらの原子存在量を基にユニット比率を算出した。評価に使用した3種類(A、B、C)の市販PM6は、全ての試料においてBDDユニットが過剰であり、また市販品によって過剰量が異なっていた。
今後の期待
本研究は、半導体高分子の性能のばらつきが主鎖構造そのものの欠陥に起因していることを明らかにしました。この発見から、高い光電変換効率を示す有機薄膜太陽電池を安定して製造して社会実装するためには、半導体高分子の構造を正確に制御し、意図しない構造欠陥を排除した材料を開発することが重要であると考えられます。
この課題は、無機半導体の製造過程における原料精製による不純物低減に似ていますが、有機半導体高分子の場合、試料中の構造欠陥を精製操作で取り除くことは困難です。そのため、そもそも構造欠陥を生じさせないクロスカップリング反応条件の開発が、根本的な解決策となります。
本研究で確立した評価手法は、半導体高分子の構造解析と品質管理において非常に有用であり、今後の材料設計や合成技術の進展に貢献することが期待されます。このような技術的進歩が、有機薄膜太陽電池の性能向上と安定性確保を加速し、実用化の道を切り開く重要な鍵となると期待されます。
補足説明
- 1.有機薄膜太陽電池
光を電気に変える(光電変換)機能を持つ太陽電池の中でも、光電変換を担う半導体層に有機物を用いたもの。有機物は有機溶媒に溶解する性質を持つため、スピンコート法やインクジェット法などを用いて、半導体層を広く薄く簡便に形成することができる。そのため、有機薄膜太陽電池は安価であり、軽量かつ柔軟性に優れた次世代の太陽電池として注目を集めている。 - 2.分子量分布
高分子の分子量(鎖の長さ)のばらつき。高分子は、ある構造が繰り返し結合した構造を持つが、試料中にはさまざまな長さの分子が混在している。分子量分布が狭い(=主鎖の長さが比較的そろっている)場合と、広い(=主鎖の長さに大きなバリエーションがある)場合では、高分子の物性が異なる場合がある。 - 3.クロスカップリング反応
二つの異なる化合物を有機合成的に化学結合させる反応。有機半導体高分子の場合、鈴木・宮浦カップリングや右田・小杉・スティルカップリングが用いられることが多い。これらの反応により、二つのユニットが逐次的に結合していくことで高分子が得られる。 - 4.交互重合体
高分子の中でも二つのユニットが交互に繰り返される構造を持つもの。 - 5.相対感度係数(RSF)
XPSで測定される各原子から放出された電子の数をその原子の存在量に換算するための係数。各XPS装置・測定条件に固有の値。正確な定量を行うためには適切な標準試料を用いて係数を補正することが推奨されるが、適切な標準試料(含まれる原子の数が明確に決まっている試料)が存在しないケースも多い。RSFはrelative sensitivity factorの略。
研究チーム
理化学研究所 創発物性科学研究センター 創発機能高分子研究チーム
研究員 中野 恭兵(ナカノ・キョウヘイ)
テクニカルスタッフⅡ 加地 由美子(カジ・ユミコ)
大学院生リサーチ・アソシエイト 鈴木 遼(スズキ・リョウ)
チームリーダー 但馬 敬介(タジマ・ケイスケ)
研究支援
本研究は、日本学術振興会(JSPS)科学研究費助成事業基盤研究(C)「有機半導体の状態密度分布の制御による低照度下でも高効率な太陽電池の創成(研究代表者:中野恭兵、22K05262)」、科学技術振興機構(JST)未来社会創造事業「革新的有機半導体の開発と有機太陽電池効率20%への挑戦(研究代表者:尾坂格、共同研究者:但馬敬介、JPMJMI20E2)」の助成を受けて行われました。
原論文情報
- Kyohei Nakano, Yumiko Kaji, Ryo Suzuki, and Keisuke Tajima, "Quantifying Unit Ratios in Semiconducting Copolymers and Effect of Structural Deviations on Photovoltaic Performance", Communications Materials, 10.1038/s43246-025-00751-0
発表者
理化学研究所
創発物性科学研究センター 創発機能高分子研究チーム
研究員 中野 恭兵(ナカノ・キョウヘイ)
チームリーダー 但馬 敬介(タジマ・ケイスケ)
報道担当
理化学研究所 広報室 報道担当
お問い合わせフォーム
